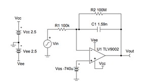
积分电路 Integrator circuit
在运算放大器积分器电路中,电容器插入反馈环路中,并在反相输入端与R1一起产生一个RC时间常数。
积分的物理意义
积分的物理意义我们经常会使用到,例如下面的几个例子。
1、加速度对时间的积分就是速度;
2、速度对时间的积分就是路程;
3、功率对时间的积分就是功。
积分的几何意义
几何意义来自于我们的数学基础概念,比如几何处理等问题,如下所示。

积分电路
设计须知
1.对于反馈电阻,请使用尽可能大的值。
2.选择一个CMOS运算放大器,以最小化输入偏置电流的误差。
3.放大器的增益带宽积(GBP)将设置积分器功能的上限频率。
集成功能的有效性通常在距放大器带宽约十年的时间开始降低。
4.需要将一个可调基准电压连接到运算放大器的同相输入,以消除输入失调电压,否则较大的DC噪声增益将导致电路饱和。具有非常低的失调电压的运算放大器可能不需要这样做。
积分电路如下所示:


积分电路计算
积分电路输出电压Vout计算

如何设计
1、我们需要先设定电阻值,即就是上图中的R1;
2、计算C1以设置单位增益积分频率。
3、计算R2将下限截止频率设置为比最小工作频率低十倍。
4、选择增益带宽至少为所需最大工作频率的10倍的放大器。

增益带宽积
假设运算放大器的增益带宽积为1 MHz,它意味着当频率为1 Mhz时,器件的增益下降到单位增益。即此时A=1。同时说明这个放大器最高可以以1 MHz的频率工作而不至于使输入信号失真。由于增益与频率的乘积是确定的,因此当同一器件需要得到10倍增益时,它最高只能够以100 kHz的频率工作。
单位增益带宽
单位增益带宽定义为,运放的闭环增益为1倍条件下,将一个频率可变恒幅正弦小信号输入到运放的输入端,随着输入信号频率不断变大,输出信号增益将不断减小,当从运放的输出端测得闭环电压增益下降3db(或是相当于运放输入信号的0.707)时,所对应的信号频率乘以闭环放大倍数1所得的增益带宽积。
导数的运算
因为我们在高等数学里面是先讲到的导数相关运算,再讲述的是积分运算。
简单函数:

复合函数:

积分的运算

运放芯片本身需要注意的参数
VOS 输入失调电压
输入失调电压定义为集成运放输出端电压为零时。两个输入端之间所加的补偿电压。输入失调电压实际上反映了运放内部的电路对称性。对称性越好。输入失调电压越小。输入失调电压是运放的一个十分重要的指标,特别是精密运放或是用于直流放大时。输入失调电压与制造工艺有一定关系。当中双极型工艺(即上述的标准硅工艺)的输入失调电压在±1~10mV之间。
IB 输入偏置电流
运放两个输入端偏置电流的平均值, 确切地说是运算放大器工作在线性区时流入输入端的平均电流。用于衡量差分放大对管输入电流的大小。
IOS 输入失调电流
在零输入时,差分输入级的差分对管基极电流之差,II0=|IB1-IB2|。用于表征差分级输入电流不对称的程度。通常,Ios为(0.5~5)nA,高质量的可低于 1nA。
AOL 开环电压增益
开环电压增益参数Aol被定义为输出电压的改变量与两个输入端之间电压该变量之比。
运算放大器的静态输入指标及动态技术指标:输入失调电压、输入失调电流、输入偏置电流、共模抑制比、单位增益带宽、转换速率、压摆率、输入阻抗、输出阻抗。
积分电路的应用:
1、积分电路可以使输入方波转换成三角波或者斜波;
2、积分电路电阻串联在主电路中,电容在干路中;
3、积分电路的时间常数t要大于或者等于10倍输入脉冲宽度;
4、积分电路输入和输出成积分关系
积分电压波形
我们经常所了解到的方波转为三角波;

R2如果不增加将会导致输出出现积分饱和,也就是电容无法放电,导致输出异常甚至可能达到和供电电源一样的电压,因此需要增加这个大的并联电容;
积分电路分析分析
如果现在施加到Vin的方波进入其正半周期并在Vin处产生稳定的正DC电压,则电流将流过R1并开始对C1充电。
由于R1和C1的交界处的电压(LM324的反相输入)保持在虚拟地,因此,运放输出(连接至C1的右面板)的电压将开始以一定速率下降由CR时间常数控制。
输出电压将继续下降,试图达到一个等于Vin且与Vin相反的负电压。此动作导致输出端出现相对线性的负向斜率,直到(远在一个时间常数结束之前),输入方波突然改变极性。
在输入方波的负向半周期开始时将Vin的电压更改回较低的水平将导致C1开始放电,并将反相输入保持在0V,运算放大器输出的电压将开始以线性方式增加。
这一直持续到下一个周期开始时输入突然再次变为正。
为了在输出三角波形上产生线性斜坡,积分器电路的CR时间常数应类似于或长于输入波周期时间的一半。
在图所示的情况下,时间常数R1 x C1(100exp3 x 10exp-9)= 220µs将周期为1 / 2exp3Hz = 500µs / 2 = 250µs的1kHz方波转换为合理的线性三角波波。
Reference
更多详细介绍可以参考TI相关介绍。
1、http://webpages.ursinus.edu/lriley/ref/circuits/node5.html
2、https://wenku.baidu.com/view/4e228473227916888586d763.html
3、https://learnabout-electronics.org/Amplifiers/amplifiers66.php
今日清明,共寄哀思
版权声明:
本文来源网络,所有图片文章版权属于原作者,如有侵权,联系删除。
本文网址:https://www.mushiming.com/mjsbk/7710.html