目录
一、带权路径长度
二、哈夫曼树的定义
三、哈夫曼树的构造
四、哈夫曼编码
五、总结

结点的权:有某种现实含义的数值(如:表示结点的重要性等)
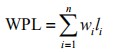
结点的带权路径长度:从树的根到该结点的路径长度(经过的边数)与该结点上权值的乘积
树的带权路径长度:树中所有叶子结点的带权路径长度之和

在含有n个带权叶结点的二叉树中,其中带权路径长度(WPL)最小的二叉树称为哈夫曼树,也称最优二叉树

给定n个权值分别为w1,w2,....wn的结点,构造哈夫曼树的算法描述如下:
1)将这n个结点分别作为n棵仅含一个结点的二叉树,构成森林F。
2)构造一个新结点,从F中选取两棵根结点权值最小的树作为新结点的左、右子树,并且将新结点的权值置位左、右子树上根结点的权值之和。
3)从F中删除刚才选出的两棵树,同时将新得到的树加入F中。
4)重复步骤2)3),直至F中只剩下一棵树为止。

注:
1)每个初始结点最终都称为叶子结点,且权值越小的结点到根结点的路径长度越大
2)哈夫曼树的结点总数为2n - 1
3)哈夫曼树中不存在度为1的结点
4)哈夫曼树并不唯一,但WPL必然相同且为最优

固定长度编码——每个字符用相等长度的二进制表示
ASCII编码
A——0
B——0
C——0
D——0
每个字符用长度为2的二进制表示
A——00
B——01
C——10
D——11
假设,100题中有80选C,10题选A,8题选B,2题选D
所有答案的二进制长度 = 80*2 + 10*2 + 8*2 + 2*2 = 200bit

可变长度编程——允许对不同字符用不等长的二进制位表示
若没有一个编码是另一个编码的前缀,则称这样的编码为前缀编码
哈夫曼树不唯一——哈夫曼编码不唯一
C——0
A——10
B——111
D——110



版权声明:
本文来源网络,所有图片文章版权属于原作者,如有侵权,联系删除。
本文网址:https://www.mushiming.com/mjsbk/13758.html