第一步:其参数A和B的求取可以通过Matlab的滤波器工具箱
来获得(因为这个c语言代码还不知道怎么写出来),打开Matlab软件,依次Start(在Matlab界面的左下角)->Toolboxes->Filter Design->Filter Design & Analysis Tool (fdatool),打开的界面如下:

可以针对自己想要的滤波器,这里都可以进行设置,得到相应的参数,本人需要一阶巴特沃斯低通滤波器,采样频率:250Hz,截止频率5Hz,设置如下:

然后,点Design Filter即可,接着在菜单栏Analysis->Filter Coefficients,可以看到分母A和分子B相应的参数:
第二步:参数得到,代入公式即可了。
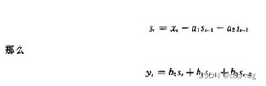
差分方程公式为: 
第一步:二阶的话,其用Matlab获取参数和c语言代码得到参数都可以,Matlab获取参数跟上述类似,如下图所示:
第一步设置FS和FC并生成滤波器:

生成滤波器后,电机左上角的[b,a]选项模块

第三步,点击edit->convert to single section 获得bk和ak

最后:

其中,Numerator,分子,也就是传递函数中的b项们,从上到下依次为b0、b1、b2。
Denominator,分母,也就是传递函数中的a项,从上到下依次为a0、a1、a2,其中a0总是为1。
除了上述方法,现在使用c语言代码得到分子B和分母A的参数。
设置采样频率为fs,截止频率为fc,则:

其公式的代码展示为:

这个表达式中需要过去的4个历史值: Xt-1,Xt-2,Yt-1,Yt-2
二阶的意思就是:输入和输出项最多用到过去两个阶段的历史值,要用static来描述过去的变量和过去的过去的变量。
C代码的实现如下(已验证,得到了实现):

那么代码就可以写为:
那有的朋友就问了,这个滤波器方程是从哪来的呢,当初我也有这个疑问。

这个方程是如何得出的呢,通过如下的图片可以给出解答(down别人的):

上面的方程是通过IIR差分方程的直接型得出的。
具体的解释为:
所以,利用左上角的差分方程带入相应的阶数k即可得到所需要的C语言函数方程了。
以上就是今天要讲的内容,本文仅仅简单介绍了二阶巴特沃斯低通滤波器的调用,绝对没有什么问题。
其中参考:
https://www.csdn.net/tags/MtjakgwsMDkxNDEtYmxvZwO0O0OO0O0O.html
版权声明:
本文来源网络,所有图片文章版权属于原作者,如有侵权,联系删除。
本文网址:https://www.mushiming.com/mjsbk/10772.html