多层感知器是在感知器的基础上多元化,原来只是用一个感知器,但是单个感知器因为是单输出,所以只能进行二分类的操作,他并不能进行类似异或问题的求解,再次基础上前辈们提出了多层感知器。

如上图所示,{a11,a12,a13}所代表的是第一层的神经元,{a21,a22}所代表的是第二层的神经元,图中的w代表的是权重。
与单层感知器不同的是这里在前层神经元权重求和后,还有进行一次非线性激活函数激活,最后得到的就是该神经元的值。

如上所示,其中f就是其中的激活函数,激活函数有类似sigmoid函数、tanh函数以及ReLU函数和它的改进Leaky ReLu函数。
MLP多层感知器算法的前馈部分就是这一步,以次遍历到最后的输出。

到此为止为前馈操作,接下来是反馈操作,前馈和反馈之间还存在一个损失函数。

此处损失函数代表的是目标值和结果值之间的差距多大。所以反馈操作的目的就是减小该损失函数的结果值。
根据刚才的神经网络图,进行改进。
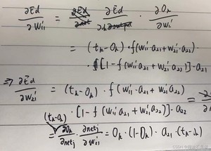
根据链式求导法则

在这里我们把激活函数定义为sigmoid函数。

在这里可以看出,sigmoid函数f(z)的导数是f(z)*(1-f(z))

这就可以得出从输出层到隐藏层的导数,

从隐藏层到输入层:
(连式求导)


同理可得出别的导数。
然后用所求出的导数去更新权重。

用MLP多层感知器算法求解异或问题。
结果:

版权声明:
本文来源网络,所有图片文章版权属于原作者,如有侵权,联系删除。
本文网址:https://www.mushiming.com/mjsbk/9287.html