Mel频率倒谱系数(MFCC)的分析是基于人的听觉机理,即依据人的听觉实验结果来分析语音的频谱,期望获得好的语音特性。
python读取语音调用wave模块
nchannels: 声道数 1
sampwidth:量化位数 2
framerate:采样频率 8000
nframes:采样点数 19000

预加重的目的是为了补偿高频分量的损失,提升高频分量,预加重的滤波器常设为
变换后:
![[外链图片转存失败,源站可能有防盗链机制,建议将图片保存下来直接上传(img-pfA54HWO-1576392559693)(C:UsersjhAppDataRoamingTypora ypora-user-images1576388987768.png)]](https://www.mushiming.com/uploads/202410/28/c3a2e245957ffd41.png)
分帧处理:由于语音信号是一个准稳态的信号,把它分成较短的帧,在每帧中可将其看做稳态信号,可用处理稳态信号的方法来处理。同时,为了使一帧与另一帧之间的参数能较平稳地过渡,在相邻两帧之间互相有部分重叠。
加窗函数:加窗函数的目的是减少频域中的泄漏,将对每一帧语音乘以汉明窗或海宁窗。语音信号x(n)经预处理后为xi(m),其中下标i表示分帧后的第i帧。
人的听觉系统是一个特殊的非线性系统,它响应不同频率信号的灵敏度是不同的。在语音特征的提取上,人类听觉系统做得非常好,它不仅能提取出语义信息, 而且能提取出说话人的个人特征,这些都是现有的语音识别系统所望尘莫及的。如果在语音识别系统中能模拟人类听觉感知处理特点,就有可能提高语音的识别率。
梅尔频率倒谱系数(Mel Frequency Cepstrum Coefficient, MFCC)考虑到了人类的听觉特征,先将线性频谱映射到基于听觉感知的Mel非线性频谱中,然后转换到倒谱上。
将普通频率转化为mel频率的公式为:
![[外链图片转存失败,源站可能有防盗链机制,建议将图片保存下来直接上传(img-BJXSCmBI-1576392559694)(C:UsersjhAppDataRoamingTypora ypora-user-images1576392519332.png)]](https://www.mushiming.com/uploads/202410/28/9f555656af7ed798.png)
将mel频率转化为普通频率公式为:
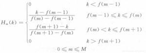
梅尔滤波器组,每个滤波器的传递函数为:
![[外链图片转存失败,源站可能有防盗链机制,建议将图片保存下来直接上传(img-RT9e3Hab-1576392559694)(C:UsersjhAppDataRoamingTypora ypora-user-images1576390569317.png)]](https://www.mushiming.com/uploads/202410/28/306b1e40b8f7e375.png)
每个滤波器在mel频率上是等带宽的。
中心频率f(m)可以表示为:
这里我采用m=24个滤波器
![[外链图片转存失败,源站可能有防盗链机制,建议将图片保存下来直接上传(img-ZkVrw9aq-1576392559695)(C:UsersjhAppDataRoamingTypora ypora-user-images1576391540230.png)]](https://www.mushiming.com/uploads/202410/28/37a00d253f3a60d4.png)
具体过程可参考:
[梅尔滤波器组的分析与设计思路]: https://blog.csdn.net/tengfei0973/article/details/
因为语音信号特征主要集中在低频部分,所以一般选用每一帧信号的前12个滤波器作为MFCC参数。
MFCC参数主要用来做语音识别和端点检测。
总代码:
输出结果:一个146×12的矩阵 146代表帧数,12代表每帧的MFCC系数
[[ 4.e+01 5.e+01 2.e+01 … -1.e+01
-2.e+01 -3.e+01]
[-7.0e+00 -5.e+00 -4.e+00 … 3.e+00
4.e+00 6.e+00]
[-1.e+01 -1.e+01 -9.e+00 … -8.e+00
-1.e+01 -1.e+01]
…
[-2.e-01 -1.e-01 -5.e-01 … -1.e-01
-2.e-02 -6.e-02]
[-1.e-01 -2.e-01 -1.e-01 … 4.e-02
-1.e-02 2.e-02]
[-1.0e-01 -6.e-02 -1.e-01 … 1.e-01
-7.e-02 8.e-02]]
MFCC提取流程图:

版权声明:
本文来源网络,所有图片文章版权属于原作者,如有侵权,联系删除。
本文网址:https://www.mushiming.com/mjsbk/9101.html