转载链接:https://www.jianshu.com/p/8dc4a5f64e06
https://www.cnblogs.com/pcheng/p/9629621.html
RSA原理:https://zhuanlan.zhihu.com/p/
中国余数定理:https://blog.csdn.net/_/article/details/
首先,
一、RSA加密简介
RSA加密是一种非对称加密。可以在不直接传递密钥的情况下,完成解密;是由一对密钥来进行加解密的过程,分别称为公钥和私钥。两者之间有数学相关,该加密算法的原理就是对一极大整数做因数分解的困难性来保证安全性。通常个人保存私钥,公钥是公开的(可能同时多人持有)。
二、RSA加密、签名区别
这里将A理解为客户端,B理解为服务端,A、B分别有一对公钥和私钥。
- 加解密过程简述
A和B进行通信加密,B要先生成一对RSA密钥,B自己持有私钥,给A公钥 —>A使用B的公钥加密要发送的内容,然后B接收到密文后通过自己的私钥解密内容 - 签名验签过程简述
A给B发送消息,A先计算出消息的消息摘要,然后使用自己的私钥加密消息摘要,被加密的消息摘要就是签名.(A用自己的私钥给消息摘要加密成为签名)
B收到消息后,也会使用和A相同的方法提取消息摘要,然后用A的公钥解密签名,并与自己计算出来的消息摘要进行比较–>如果相同则说明消息是A发送给B的,同时,A也无法否认自己发送消息给B的事实.(B使用A的公钥解密签名文件的过程,叫做"验签").
三、对签名和验签过程详细理解:
签名过程:
- A计算消息m的消息摘要,记为 h(m)
- A使用私钥(n,d)对h(m)加密,生成签名s, s满足:s=(h(m))^d mod n;
由于A是用自己的私钥对消息摘要加密,所以只用使用s的公钥才能解密该消息摘要,这样A就不可否认自己发送了该消息给B. - A发送消息和签名(m,s)给B
验签过程:
- B计算消息m的消息摘要(计算方式和A相同),记为h(m)
- B使用A的公钥(n,e)解密s,得到 H(m), H(m) = s^e mod n
- B比较H(m)与h(m),相同才能证明验签成功
四、对加密/解密和签名/验签完整过程详细理解:
A->B:
1.A提取消息m的消息摘要h(m),并使用自己的私钥对摘要h(m)进行加密,生成签名s
2.A将签名s和消息m一起,使用B的公钥进行加密,生成密文c,发送给B
B:
1.B接收到密文c,使用自己的私钥解密c得到明文m和数字签名s
2.B使用A的公钥解密数字签名s解密得到H(m)
3.B使用相同的方法提取消息m的消息摘要h(m)
4.B比较两个消息摘要。相同则验证成功;不同则验证失败
RSA算法常用于非对称加密,非对称加密流程如下:
(1)乙方生成两把密钥(公钥和私钥)。公钥是公开的,任何人都可以获得,私钥则是保密的。
(2)甲方获取乙方的公钥,然后用它对信息加密。
(3)乙方得到加密后的信息,用私钥解密。
数论基础
一、素数
素数又称质数,指在一个大于1的自然数中,除了1和此整数自身外,不能被其他自然数整除的数。这个概念,我们在上初中,甚至小学的时候都学过了,这里就不再过多解释了。
二、模运算
模运算即求余运算。“模”是“Mod”的音译。和模运算紧密相关的一个概念是“同余”。数学上,当两个整数除以同一个正整数,若得相同余数,则二整数同余。
两个整数a,b,若它们除以正整数m所得的余数相等,则称a,b对于模m同余,记作: a ≡ b (mod m);读作:a同余于b模m,或者,a与b关于模m同余。例如:26 ≡ 14 (mod 12)。
三、互质关系
如果两个正整数,除了1以外,没有其他公因子,我们就称这两个数是互质关系(coprime)。比如,15和32没有公因子,所以它们是互质关系。这说明,不是质数也可以构成互质关系。
关于互质关系,不难得到以下结论:
任意两个质数构成互质关系,比如13和61。
一个数是质数,另一个数只要不是前者的倍数,两者就构成互质关系,比如3和10。
如果两个数之中,较大的那个数是质数,则两者构成互质关系,比如97和57。
1和任意一个自然数是都是互质关系,比如1和99。
p是大于1的整数,则p和p-1构成互质关系,比如57和56。
p是大于1的奇数,则p和p-2构成互质关系,比如17和15。
四、欧拉函数
请思考以下问题:
φ(n)的计算方法并不复杂,但是为了得到最后那个公式,需要一步步讨论。
第一种情况
如果n=1,则 φ(1) = 1 。因为1与任何数(包括自身)都构成互质关系。
第二种情况
如果n是质数,则 φ(n)=n-1 。因为质数与小于它的每一个数,都构成互质关系。比如5与1、2、3、4都构成互质关系。
第三种情况
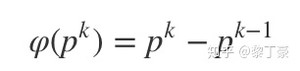
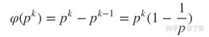
如果n是质数的某一个次方,即 n = p^k (p为质数,k为大于等于1的整数),则
比如 φ(8) = φ(2^3) =2^3 - 2^2 = 8 -4 = 4。
这是因为只有当一个数不包含质数p,才可能与n互质。而包含质数p的数一共有p(k-1)个,即1×p、2×p、3×p、…、p(k-1)×p,把它们去除,剩下的就是与n互质的数。

上面的式子还可以写成下面的形式:

可以看出,上面的第二种情况是 k=1 时的特例。
第四种情况
如果n可以分解成两个互质的整数之积,n = p1 × p2,
则:φ(n) = φ(p1p2) = φ(p1)φ(p2)
即积的欧拉函数等于各个因子的欧拉函数之积。比如,φ(56)=φ(8×7)=φ(8)×φ(7)=4×6=24。
这一条的证明要用到“中国剩余定理”,这里就不展开了,只简单说一下思路:如果a与p1互质(a < p1),b与p2互质(b < p2),c与p1p2互质(c < p1p2),则c与数对 (a,b) 是一一对应关系。由于a的值有φ(p1)种可能,b的值有φ(p2)种可能,则数对 (a,b) 有φ(p1)φ(p2)种可能,而c的值有φ(p1p2)种可能,所以φ(p1p2)就等于φ(p1)φ(p2)。
第五种情况
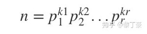
因为任意一个大于1的正整数,都可以写成一系列质数的积。

根据第4条的结论,得到

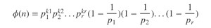
再根据第3条的结论,得到

也就等于

这就是欧拉函数的通用计算公式。比如,1323的欧拉函数,计算过程如下:

五、欧拉定理

也就是说,a的φ(n)次方被n除的余数为1。或者说,a的φ(n)次方减去1,可以被n整除。比如,3和7互质,而7的欧拉函数φ(7)等于6,所以3的6次方(729)减去1,可以被7整除(728/7=104)。
欧拉定理的证明比较复杂,这里就省略了。我们只要记住它的结论就行了。
欧拉定理可以大大简化某些运算。比如,7和10互质,根据欧拉定理,

已知 φ(10) 等于4,所以马上得到7的4倍数次方的个位数肯定是1。

因此,7的任意次方的个位数(例如7的222次方),心算就可以算出来。
欧拉定理有一个特殊情况。

这就是著名的费马小定理。它是欧拉定理的特例。
欧拉定理是RSA算法的核心。理解了这个定理,就可以理解RSA。
六、模反元素
还剩下最后一个概念:

这时,b就叫做a的“模反元素”。
比如,3和11互质,那么3的模反元素就是4,因为 (3 × 4)-1 可以被11整除。显然,模反元素不止一个, 4加减11的整数倍都是3的模反元素 {…,-18,-7,4,15,26,…},即如果b是a的模反元素,则 b+kn 都是a的模反元素。
欧拉定理可以用来证明模反元素必然存在。

可以看到,a的 φ(n)-1 次方,就是a的模反元素。
密钥生成的步骤:
我们通过一个例子,来理解RSA算法。假设爱丽丝要与鲍勃进行加密通信,她该怎么生成公钥和私钥呢?
第一步,随机选择两个不相等的质数p和q。
爱丽丝选择了61和53。(实际应用中,这两个质数越大,就越难激活成功教程。)
第二步,计算p和q的乘积n。
爱丽丝就把61和53相乘。
n的长度就是密钥长度。3233写成二进制是1,一共有12位,所以这个密钥就是12位。实际应用中,RSA密钥一般是1024位,重要场合则为2048位。
第三步,计算n的欧拉函数φ(n)。
第四步,随机选择一个整数e,条件是1< e < φ(n),且e与φ(n) 互质。
爱丽丝就在1到3120之间,随机选择了17。(实际应用中,常常选择65537)
第五步,计算e对于φ(n)的模反元素d。
所谓”模反元素”就是指有一个整数d,可以使得ed被φ(n)除的余数为1。
这个式子等价于
于是,找到模反元素d,实质上就是对下面这个二元一次方程求解。(-k = y)
已知 e=17, φ(n)=3120,
至此所有计算完成。
第六步,将n和e封装成公钥,n和d封装成私钥。
在爱丽丝的例子中,n=3233,e=17,d=2753,所以公钥就是 (3233,17),私钥就是(3233, 2753)。
实际应用中,公钥和私钥的数据都采用ASN.1格式(TLV)表达。
这六个数字之中,公钥用到了两个(n和e),其余四个数字都是不公开的。其中最关键的是d,因为n和d组成了私钥,一旦d泄漏,就等于私钥泄漏。
那么,有无可能在已知n和e的情况下,推导出d?
结论:如果n可以被因数分解,d就可以算出,也就意味着私钥被激活成功教程。
可是,大整数的因数分解,是一件非常困难的事情。目前,除了暴力激活成功教程,还没有发现别的有效方法。维基百科这样写道:
举例来说,你可以对3233进行因数分解(61×53),但是你没法对下面这个整数进行因数分解。
它等于这样两个质数的乘积:
事实上,这大概是人类已经分解的最大整数(232个十进制位,768个二进制位)。比它更大的因数分解,还没有被报道过,因此目前被激活成功教程的最长RSA密钥就是768位。
有了公钥和密钥,就能进行加密和解密了。
(1)加密要用公钥(n,e)
假设鲍勃要向爱丽丝发送加密信息m,他就要用爱丽丝的公钥 (n,e) 对m进行加密。这里需要注意,m必须是整数(字符串可以取ascii值或unicode值),且m必须小于n。
所谓”加密”,就是算出下式的c:
爱丽丝的公钥是 (3233, 17),鲍勃的m假设是65,那么可以算出下面的等式:
于是,c等于2790,鲍勃就把2790发给了爱丽丝。
(2)解密要用私钥(n,d)
爱丽丝拿到鲍勃发来的2790以后,就用自己的私钥(3233, 2753) 进行解密。可以证明,下面的等式一定成立:
也就是说,c的d次方除以n的余数为m。现在,c等于2790,私钥是(3233, 2753),那么,爱丽丝算出
因此,爱丽丝知道了鲍勃加密前的原文就是65。
至此,”加密–解密”的整个过程全部完成。
我们可以看到,如果不知道d,就没有办法从c求出m。而前面已经说过,要知道d就必须分解n,这是极难做到的,所以RSA算法保证了通信安全。
你可能会问,公钥(n,e) 只能加密小于n的整数m,那么如果要加密大于n的整数,该怎么办?有两种解决方法:一种是把长信息分割成若干段短消息,每段分别加密;另一种是先选择一种”对称性加密算法”(比如DES),用这种算法的密钥加密信息,再用RSA公钥加密DES密钥。
最后,我们来证明,为什么用私钥解密,一定可以正确地得到m。也就是证明下面这个式子:

因为,根据加密规则

由于于是,c可以写成下面的形式:

将c代入要我们要证明的那个解密规则:

观察可知,等式左边的多项式拆开以后,只要是有kn的项都能被n整除,所以可以去掉所有含有kn的项,即等同于求证

由于

所以

将ed代入:

接下来,分成两种情况证明上面这个式子。
m与n互质
根据欧拉定理,此时

根据加密规则我们有m < n,所以给等式同时乘m,得到

原式得到证明。
m与n不是互质关系
当m与n不互质时(m < n),由于n=p * q, 那么 gcd(m,n) = p 或者 gcd(m,n)=q,跟阮老师在这里假设的一样

此时,m必然与q互质.
(1)根据费马小定理,当m与q互质时,我们可以得到

(2)类似之前的式子,我们可以推导出

(3)根据之前的式子我们可以进行如下推倒

(4)改写这个等式到

两边乘上 m,得到

(5)最后一步

原式得证!
取质数13和7.它们的结果给我们的最大值为91.我们取5为公钥。然后用我们已知的事实7和13是91的因子并且运用拓展欧几里得算法(辗转相除法),我们得到私钥是29。
这些参数 (max:91,pub:5,priv:29) 定义一个充分实用型RSA系统。你能取一个数字并且用它乘以它自己5次来加密它,然后取那个数字并且用它乘以它自己29次然后你得回了原来的数字。所以 公钥就是 (91, 5),私钥就是(91, 29)
用这些标准来加密信息“CLOUD”。
为了用数字表示这个信息,我们要把字母转换成数字。拉丁字母表的通常代表是UTF-8.每个字母相当于一个数字。
在这次编码下,CLOUD是67,76,79,85,68。每个这些数字小于我们的最大值91,所以我们可以单独地加密它们。让我们开始第一个字母。

这意味着67(或C)的加密值是58.
对每个字母重复这个过程,我们得到加密信息CLOUD变成:58,20,53,50,87
根据公式解密

版权声明:
本文来源网络,所有图片文章版权属于原作者,如有侵权,联系删除。
本文网址:https://www.mushiming.com/mjsbk/8512.html