当前位置:网站首页 > 技术博客 > 正文

java中集合框架的层次结构



眼瞅着三妹的王者荣耀杀得正嗨,我趁机喊到:“别打了,三妹,我们来一起学习 Java 的集合框架吧。”

“才不要呢,等我打完这一局啊。”三妹倔强地说。

“好吧。”我只好摊摊手地说,“那我先画张集合框架的结构图等着你。”

“完了没?三妹。”

“完了好一会儿了,二哥,你图画得真慢,让我瞧瞧怎么样?”

“害,图要画得清晰明了,不容易的。三妹,你瞧,不错吧。”

“哇,果然很棒,哥,你可真认真!”

“我来简单介绍一下吧。”

Java 集合框架可以分为两条大的支线:

①、Collection,主要由 List、Set、Queue 组成:

  • List 代表有序、可重复的集合,典型代表就是封装了动态数组的 ArrayList 和封装了链表的 LinkedList;
  • Set 代表无序、不可重复的集合,典型代表就是 HashSet 和 TreeSet;
  • Queue 代表队列,典型代表就是双端队列 ArrayDeque,以及优先级队列 PriorityQueue。

②、Map,代表键值对的集合,典型代表就是 HashMap。

List 的特点是存取有序,可以存放重复的元素,可以用下标对元素进行操作。

先来一段 ArrayList 的增删改查,学会用。

简单介绍一下 ArrayList 的特征,后面还会详细讲。

  • ArrayList 是由数组实现的,支持随机存取,也就是可以通过下标直接存取元素;
  • 从尾部插入和删除元素会比较快捷,从中间插入和删除元素会比较低效,因为涉及到数组元素的复制和移动;
  • 如果内部数组的容量不足时会自动扩容,因此当元素非常庞大的时候,效率会比较低。

同样先来一段 LinkedList 的增删改查,和 ArrayList 几乎没什么差别。

不过,LinkedList 和 ArrayList 仍然有较大的不同,后面也会详细地讲。

  • LinkedList 是由双向链表实现的,不支持随机存取,只能从一端开始遍历,直到找到需要的元素后返回;
  • 任意位置插入和删除元素都很方便,因为只需要改变前一个节点和后一个节点的引用即可,不像 ArrayList 那样需要复制和移动数组元素;
  • 因为每个元素都存储了前一个和后一个节点的引用,所以相对来说,占用的内存空间会比 ArrayList 多一些。

List 的实现类还有一个 Vector,是一个元老级的类,比 ArrayList 出现得更早。ArrayList 和 Vector 非常相似,只不过 Vector 是线程安全的,像 get、set、add 这些方法都加了 关键字,就导致执行效率会比较低,所以现在已经很少用了。

我就不写太多代码了,只看一下 add 方法的源码就明白了。

这种加了同步方法的类,注定会被淘汰掉,就像StringBuilder 取代 StringBuffer那样。JDK 源码也说了:

如果不需要线程安全,建议使用 ArrayList 代替 Vector。

Stack 是 Vector 的一个子类,本质上也是由动态数组实现的,只不过还实现了先进后出的功能(在 get、set、add 方法的基础上追加了 pop「返回并移除栈顶的元素」、peek「只返回栈顶元素」等方法),所以叫栈。

下面是这两个方法的源码,增删改查我就不写了,和 ArrayList 和 LinkedList 几乎一样。

不过,由于 Stack 执行效率比较低(方法上同样加了 synchronized 关键字),就被双端队列 ArrayDeque 取代了(下面会介绍)。

Set 的特点是存取无序,不可以存放重复的元素,不可以用下标对元素进行操作,和 List 有很多不同。

HashSet 其实是由 HashMap 实现的,只不过值由一个固定的 Object 对象填充,而键用于操作。来简单看一下它的源码。

实际开发中,HashSet 并不常用,比如,如果我们需要按照顺序存储一组元素,那么 ArrayList 和 LinkedList 可能更适合;如果我们需要存储键值对并根据键进行查找,那么 HashMap 可能更适合。

来一段增删改查体验一下:

HashSet 主要用于去重,比如,我们需要统计一篇文章中有多少个不重复的单词,就可以使用 HashSet 来实现。

从上面的例子可以看得出,HashSet 会自动去重,因为它是用 HashMap 实现的,HashMap 的键是唯一的(哈希值),相同键的值会覆盖掉原来的值,于是第二次 的时候就覆盖了第一次的 。

我在《LeetCode 的第 15 题:三数之和》的时候用到了 HashSet,大家可以通过链接去查看一下。

LinkedHashSet 虽然继承自 HashSet,其实是由 LinkedHashMap 实现的。

这是 LinkedHashSet 的无参构造方法:

super 的意思是它将调用父类的 HashSet 的一个有参构造方法:

看到 LinkedHashMap 了吧,这个我们后面会去讲。

好吧,来看一段 LinkedHashSet 的增删改查吧。

在以上代码中,我们首先创建了一个 LinkedHashSet 对象,然后使用 add 方法依次添加了三个元素:沉默、王二和陈清扬。接着,我们使用 remove 方法删除了王二这个元素,并使用 remove 和 add 方法修改了沉默这个元素。最后,我们使用 contains 方法查找了陈清扬这个元素是否存在于 set 中,并打印了结果。

LinkedHashSet 是一种基于哈希表实现的 Set 接口,它继承自 HashSet,并且使用链表维护了元素的插入顺序。因此,它既具有 HashSet 的快速查找、插入和删除操作的优点,又可以维护元素的插入顺序。

“二哥,不用你讲了,我能猜到,TreeSet 是由 TreeMap(后面会讲) 实现的,只不过同样操作的键位,值由一个固定的 Object 对象填充。”

哇,三妹都学会了推理。

是的,与 TreeMap 相似,TreeSet 是一种基于红黑树实现的有序集合,它实现了 SortedSet 接口,可以自动对集合中的元素进行排序。按照键的自然顺序或指定的比较器顺序进行排序。

需要注意的是,TreeSet 不允许插入 null 元素,否则会抛出 NullPointerException 异常。

“总体上来说,Set 集合不是关注的重点,因为底层都是由 Map 实现的,为什么要用 Map 实现呢?三妹你能猜到原因吗?”

“让我想想。”

“嗯?难道是因为 Map 的键不允许重复、无序吗?”

老天,竟然被三妹猜到了。

“是的,你这水平长进了呀,三妹。”

Queue,也就是队列,通常遵循先进先出(FIFO)的原则,新元素插入到队列的尾部,访问元素返回队列的头部。

从名字上可以看得出,ArrayDeque 是一个基于数组实现的双端队列,为了满足可以同时在数组两端插入或删除元素的需求,数组必须是循环的,也就是说数组的任何一点都可以被看作是起点或者终点。

这是一个包含了 4 个元素的双端队列,和一个包含了 5 个元素的双端队列。

head 指向队首的第一个有效的元素,tail 指向队尾第一个可以插入元素的空位,因为是循环数组,所以 head 不一定从是从 0 开始,tail 也不一定总是比 head 大。

来一段 ArrayDeque 的增删改查吧。

LinkedList 一般应该归在 List 下,只不过,它也实现了 Deque 接口,可以作为队列来使用。等于说,LinkedList 同时实现了 Stack、Queue、PriorityQueue 的所有功能。

换句话说,LinkedList 和 ArrayDeque 都是 Java 集合框架中的双向队列(deque),它们都支持在队列的两端进行元素的插入和删除操作。不过,LinkedList 和 ArrayDeque 在实现上有一些不同:

  • 底层实现方式不同:LinkedList 是基于链表实现的,而 ArrayDeque 是基于数组实现的。
  • 随机访问的效率不同:由于底层实现方式的不同,LinkedList 对于随机访问的效率较低,时间复杂度为 O(n),而 ArrayDeque 可以通过下标随机访问元素,时间复杂度为 O(1)。
  • 迭代器的效率不同:LinkedList 对于迭代器的效率比较低,因为需要通过链表进行遍历,时间复杂度为 O(n),而 ArrayDeque 的迭代器效率比较高,因为可以直接访问数组中的元素,时间复杂度为 O(1)。
  • 内存占用不同:由于 LinkedList 是基于链表实现的,它在存储元素时需要额外的空间来存储链表节点,因此内存占用相对较高,而 ArrayDeque 是基于数组实现的,内存占用相对较低。

因此,在选择使用 LinkedList 还是 ArrayDeque 时,需要根据具体的业务场景和需求来选择。如果需要在双向队列的两端进行频繁的插入和删除操作,并且需要随机访问元素,可以考虑使用 ArrayDeque;如果需要在队列中间进行频繁的插入和删除操作,可以考虑使用 LinkedList。

来一段 LinkedList 作为队列时候的增删改查吧,注意和它作为 List 的时候有很大的不同。

在使用 LinkedList 作为队列时,可以使用 offer() 方法将元素添加到队列的末尾,使用 poll() 方法从队列的头部删除元素。另外,由于 LinkedList 是链表结构,不支持随机访问元素,因此不能使用下标访问元素,需要使用迭代器或者 poll() 方法依次遍历元素。

PriorityQueue 是一种优先级队列,它的出队顺序与元素的优先级有关,执行 remove 或者 poll 方法,返回的总是优先级最高的元素。

要想有优先级,元素就需要实现 Comparable 接口或者 Comparator 接口(我们后面会讲)。

这里先来一段通过实现 Comparator 接口按照年龄姓名排序的优先级队列吧。

Student 是一个学生对象,包含姓名、语文成绩和数学成绩。

StudentComparator 实现了 Comparator 接口,对总成绩做了一个排序。

PriorityQueue 是一个优先级队列,参数为 StudentComparator,然后我们添加了 4 个学生对象进去。

来看一下输出结果:

我们使用 offer 方法添加元素,最后用 while 循环遍历元素(通过 poll 方法取出元素),从结果可以看得出,PriorityQueue按照学生的总成绩由高到低进行了排序。

Map 保存的是键值对,键要求保持唯一性,值可以重复。

HashMap 实现了 Map 接口,可以根据键快速地查找对应的值——通过哈希函数将键映射到哈希表中的一个索引位置,从而实现快速访问。后面会详细聊到。

这里先大致了解一下 HashMap 的特点:

  • HashMap 中的键和值都可以为 null。如果键为 null,则将该键映射到哈希表的第一个位置。
  • 可以使用迭代器或者 forEach 方法遍历 HashMap 中的键值对。
  • HashMap 有一个初始容量和一个负载因子。初始容量是指哈希表的初始大小,负载因子是指哈希表在扩容之前可以存储的键值对数量与哈希表大小的比率。默认的初始容量是 16,负载因子是 0.75。

来个简单的增删改查吧。

HashMap 已经非常强大了,但它是无序的。如果我们需要一个有序的 Map,就要用到 LinkedHashMap。LinkedHashMap 是 HashMap 的子类,它使用链表来记录插入/访问元素的顺序。

LinkedHashMap 可以看作是 HashMap + LinkedList 的合体,它使用了哈希表来存储数据,又用了双向链表来维持顺序。

来一个简单的例子。

来看输出结果:

从结果中可以看得出来,LinkedHashMap 维持了键值对的插入顺序,对吧?为了和 LinkedHashMap 做对比,我们用同样的数据试验一下 HashMap。

来看输出结果:

HashMap 没有维持键值对的插入顺序,对吧?

TreeMap 实现了 SortedMap 接口,可以自动将键按照自然顺序或指定的比较器顺序排序,并保证其元素的顺序。内部使用红黑树来实现键的排序和查找。

同样来一个增删改查的 demo:

与 HashMap 不同的是,TreeMap 会按照键的顺序来进行排序。

来看输出结果:

默认情况下,已经按照键的自然顺序排过了。

“好了,三妹,关于集合框架,我们就先聊到这,随后我们会针对常用的容器进行详细地讲解,比如说 ArrayList、LinkedList、HashMap 等。”

“哇,二哥,这篇讲的东西可真不少,虽然都是比较基础的,但对于我一个小白来说,还是需要花点时间去消化的。”三妹嘟嘟嘴说到。


GitHub 上标星 10000+ 的开源知识库《二哥的 Java 进阶之路》第一版 PDF 终于来了!包括 Java 基础语法、数组&字符串、OOP、集合框架、Java IO、异常处理、Java 新特性、网络编程、NIO、并发编程、JVM 等等,共计 32 万余字,500+张手绘图,可以说是通俗易懂、风趣幽默……详情戳:太赞了,GitHub 上标星 10000+ 的 Java 教程

微信搜 沉默王二 或扫描下方二维码关注二哥的原创公众号沉默王二,回复 222 即可免费领取。

“二哥,听说今天我们开讲 ArrayList 了?好期待哦!”三妹明知故问,这个托配合得依然天衣无缝。

“是的呀,三妹。”我肯定地点了点头,继续说道,“ArrayList 可以称得上是集合框架方面最常用的类了,可以和 HashMap 一较高下。”

从名字就可以看得出来,ArrayList 实现了 List 接口,并且是基于数组实现的。

数组的大小是固定的,一旦创建的时候指定了大小,就不能再调整了。也就是说,如果数组满了,就不能再添加任何元素了。ArrayList 在数组的基础上实现了自动扩容,并且提供了比数组更丰富的预定义方法(各种增删改查),非常灵活。

Java 这门编程语言和别的编程语言,比如说 C语言的不同之处就在这里,如果是 C语言的话,你就必须得动手实现自己的 ArrayList,原生的库函数里面是没有的。

“二哥,如何创建一个 ArrayList 啊?”三妹问。

可以通过上面的语句来创建一个字符串类型的 ArrayList(通过尖括号来限定 ArrayList 中元素的类型,如果尝试添加其他类型的元素,将会产生编译错误),更简化的写法如下:

由于 ArrayList 实现了 List 接口,所以 alist 变量的类型可以是 List 类型;new 关键字声明后的尖括号中可以不再指定元素的类型,因为编译器可以通过前面尖括号中的类型进行智能推断。

此时会调用无参构造方法(见下面的代码)创建一个空的数组,常量DEFAULTCAPACITY_EMPTY_ELEMENTDATA的值为 。

如果非常确定 ArrayList 中元素的个数,在创建的时候还可以指定初始大小。

这样做的好处是,可以有效地避免在添加新的元素时进行不必要的扩容。

“二哥,那怎么向 ArrayList 中添加一个元素呢?”三妹继续问。

可以通过 方法向 ArrayList 中添加一个元素。

我们来跟一下源码,看看 add 方法到底执行了哪些操作。跟的过程中,我们也可以偷师到 Java 源码的作者(大师级程序员)是如何优雅地写代码的。

我先给个结论,全当抛砖引玉。

来具体看一下,先是 方法的源码(已添加好详细地注释)

参数 e 为要添加的元素,此时的值为“沉默王二”,size 为 ArrayList 的长度,此时为 0。

继续跟下去,来看看 方法:

此时:

  • 参数 minCapacity 为 1(size+1 传过来的)
  • elementData 为存放 ArrayList 元素的底层数组,前面声明 ArrayList 的时候讲过了,此时为空
  • DEFAULTCAPACITY_EMPTY_ELEMENTDATA 前面也讲过了,为

所以,if 条件此时为 true,if 语句要执行。

DEFAULT_CAPACITY 为 10(见下面的代码),所以执行完这行代码后,minCapacity 为 10, 方法的作用是取两个当中最大的那个。

接下来执行 方法,来看一下源码:

此时:

  • 参数 minCapacity 为 10
  • elementData.length 为 0(数组为空)

所以 10-0>0,if 条件为 true,进入 if 语句执行 方法,来看源码:

此时:

  • 参数 minCapacity 为 10
  • 变量 oldCapacity 为 0

所以 newCapacity 也为 0,于是 等于 -10 小于 0,于是第一个 if 条件为 true,执行第一个 if 语句 ,然后 newCapacity 为 10。

紧接着执行 ,也就是进行数组的第一次扩容,长度为 10。

回到 方法:

执行 。

此时:

  • size 为 0
  • e 为 “沉默王二”

所以数组的第一个元素(下标为 0) 被赋值为“沉默王二”,接着返回 true,第一次 add 方法执行完毕。

PS:add 过程中会遇到一个令新手感到困惑的右移操作符 ,借这个机会来解释一下。

ArrayList 在第一次执行 add 后会扩容为 10,那 ArrayList 第二次扩容发生在什么时候呢?

答案是添加第 11 个元素时,大家可以尝试分析一下这个过程。

“oldCapacity 等于 10, 这个表达式等于多少呢?三妹你知道吗?”我问三妹。

“不知道啊, 是什么意思呢?”三妹很疑惑。

“ 是右移运算符, 相当于 oldCapacity 除以 2。”我给三妹解释道,“在计算机内部,都是按照二进制存储的,10 的二进制就是 1010,也就是 =0+2+0+8=10 。。。。。。”

还没等我解释完,三妹就打断了我,“二哥,能再详细解释一下到底为什么吗?”

“当然可以啊。”我拍着胸脯对三妹说。

先从位权的含义说起吧。

平常我们使用的是十进制数,比如说 39,并不是简单的 3 和 9,3 表示的是 ,9 表示的是 ,和 3 相乘的 10,和 9 相乘的 1,就是位权。位数不同,位权就不同,第 1 位是 10 的 0 次方(也就是 ),第 2 位是 10 的 1 次方(),第 3 位是 10 的 2 次方(),最右边的是第一位,依次类推。

位权这个概念同样适用于二进制,第 1 位是 2 的 0 次方(也就是 ),第 2 位是 2 的 1 次方(),第 3 位是 2 的 2 次方(),第 4 位是 2 的 3 次方()。

十进制的情况下,10 是基数,二进制的情况下,2 是基数。

10 在十进制的表示法是 =0+10=10。

10 的二进制数是 1010,也就是 =0+2+0+8=10。

然后是移位运算,移位分为左移和右移,在 Java 中,左移的运算符是 ,右移的运算符 。

拿 来说吧, 左边的是被移位的值,此时是 10,也就是二进制 ; 右边的是要移位的位数,此时是 1。

1010 向右移一位就是 101,空出来的最高位此时要补 0,也就是 0101。

“那为什么不补 1 呢?”三妹这个问题很尖锐。

“因为是算术右移,并且是正数,所以最高位补 0;如果表示的是负数,就需要补 1。”我慢吞吞地回答道,“0101 的十进制就刚好是 =1+0+4+0=5,如果多移几个数来找规律的话,就会发现,右移 1 位是原来的 1/2,右移 2 位是原来的 1/4,诸如此类。”

也就是说,ArrayList 的大小会扩容为原来的大小+原来大小/2,也就是 1.5 倍。

这下明白了吧?

你可以通过在 ArrayList 中添加第 11 个元素来 debug 验证一下。

除了 方法,还可以通过 方法把元素添加到 ArrayList 的指定位置:

方法的源码如下:

方法会调用到一个非常重要的本地方法 ,它会对数组进行复制(要插入位置上的元素往后复制)。

来细品一下。

这是 arraycopy() 的语法:

在 方法中,具体用法如下:

  • elementData:表示要复制的源数组,即 ArrayList 中的元素数组。
  • index:表示源数组中要复制的起始位置,即需要将 index 及其后面的元素向后移动一位。
  • elementData:表示要复制到的目标数组,即 ArrayList 中的元素数组。
  • index + 1:表示目标数组中复制的起始位置,即将 index 及其后面的元素向后移动一位后,应该插入到的位置。
  • size - index:表示要复制的元素个数,即需要将 index 及其后面的元素向后移动一位,需要移动的元素个数为 size - index。

“三妹,注意看,我画幅图来表示下。”我认真地做起了图。

“二哥,那怎么更新 ArrayList 中的元素呢?”三妹继续问。

可以使用 方法来更改 ArrayList 中的元素,需要提供下标和新元素。

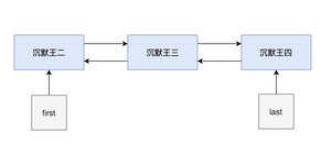
假设原来 0 位置上的元素为“沉默王三”,现在可以将其更新为“沉默王四”。

来看一下 方法的源码:

该方法会先对指定的下标进行检查,看是否越界,然后替换新值并返回旧值。

“二哥,那怎么删除 ArrayList 中的元素呢?”三妹继续问。

方法用于删除指定下标位置上的元素, 方法用于删除指定值的元素。

先来看 方法的源码:

需要注意的是,在 ArrayList 中,删除元素时,需要将删除位置后面的元素向前移动一位,以填补删除位置留下的空缺。如果需要移动元素,则需要使用 System.arraycopy 方法将删除位置后面的元素向前移动一位。最后,将数组末尾的元素置为 null,以便让垃圾回收机制回收该元素占用的空间。

再来看 方法的源码:

该方法通过遍历的方式找到要删除的元素,null 的时候使用 == 操作符判断,非 null 的时候使用 方法,然后调用 方法。

注意:

  • 有相同元素时,只会删除第一个。
  • 判断两个元素是否相等,可以参考Java如何判断两个字符串是否相等

继续往后面跟,来看一下 方法:

同样是调用 方法对数组进行复制和移动。

“三妹,注意看,我画幅图来表示下。”我认真地做起了图。

“二哥,那怎么查找 ArrayList 中的元素呢?”三妹继续问。

如果要正序查找一个元素,可以使用 方法;如果要倒序查找一个元素,可以使用 方法。

来看一下 方法的源码:

如果元素为 null 的时候使用“==”操作符,否则使用 方法。

方法和 方法类似,不过遍历的时候从最后开始。

方法可以判断 ArrayList 中是否包含某个元素,其内部就是通过 方法实现的:

如果 ArrayList 中的元素是经过排序的,就可以使用二分查找法,效率更快。

类的 方法可以对 ArrayList 进行排序,该方法会按照字母顺序对 String 类型的列表进行排序。如果是自定义类型的列表,还可以指定 Comparator 进行排序。

这里先简单地了解一下,后面会详细地讲。

输出结果如下所示:

排序后就可以使用二分查找法了:

“最后,三妹,我们来简单总结一下 ArrayList 的时间复杂度吧,方便后面学习 LinkedList 时对比。”我喝了一口水后补充道。

时间复杂度为 O(1),因为 ArrayList 内部使用数组来存储元素,所以可以直接根据索引来访问元素。

添加一个元素(调用 方法时)的时间复杂度最好情况为 O(1),最坏情况为 O(n)。

  • 如果在列表末尾添加元素,时间复杂度为 O(1)。
  • 如果要在列表的中间或开头插入元素,则需要将插入位置之后的元素全部向后移动一位,时间复杂度为 O(n)。

删除一个元素(调用 方法时)的时间复杂度最好情况 O(1),最坏情况 O(n)。

  • 如果要删除列表末尾的元素,时间复杂度为 O(1)。
  • 如果要删除列表中间或开头的元素,则需要将删除位置之后的元素全部向前移动一位,时间复杂度为 O(n)。

修改一个元素(调用 方法时)与查询操作类似,可以直接根据索引来访问元素,时间复杂度为 O(1)。

ArrayList,如果有个中文名的话,应该叫动态数组,也就是可增长的数组,可调整大小的数组。动态数组克服了静态数组的限制,静态数组的容量是固定的,只能在首次创建的时候指定。而动态数组会随着元素的增加自动调整大小,更符合实际的开发需求。

学习集合框架,ArrayList 是第一课,也是新手进阶的重要一课。要想完全掌握 ArrayList,扩容这个机制是必须得掌握,也是面试中经常考察的一个点。

要想掌握扩容机制,就必须得读源码,也就肯定会遇到 ,有些初学者会选择跳过,虽然不影响整体上的学习,但也错过了一个精进的机会。

计算机内部是如何表示十进制数的,右移时又发生了什么,静下心来去研究一下,你就会发现,哦,原来这么有趣呢?

“好了,三妹,这一节我们就学到这里,收工!”


GitHub 上标星 10000+ 的开源知识库《二哥的 Java 进阶之路》第一版 PDF 终于来了!包括Java基础语法、数组&字符串、OOP、集合框架、Java IO、异常处理、Java 新特性、网络编程、NIO、并发编程、JVM等等,共计 32 万余字,500+张手绘图,可以说是通俗易懂、风趣幽默……详情戳:太赞了,GitHub 上标星 10000+ 的 Java 教程

微信搜 沉默王二 或扫描下方二维码关注二哥的原创公众号沉默王二,回复 222 即可免费领取。

这篇换个表达方式,一起来欣赏。

大家好,我是 LinkedList,和 ArrayList 是同门师兄弟,但我俩练的内功却完全不同。师兄练的是动态数组,我练的是链表。

问大家一个问题,知道我为什么要练链表这门内功吗?

举个例子来讲吧,假如你们手头要管理一推票据,可能有一张,也可能有一亿张。

该怎么办呢?

申请一个 10G 的大数组等着?那万一票据只有 100 张呢?

申请一个默认大小的数组,随着数据量的增大扩容?要知道扩容是需要重新复制数组的,很耗时间。

关键是,数组还有一个弊端就是,假如现在有 500 万张票据,现在要从中间删除一个票据,就需要把 250 万张票据往前移动一格。

遇到这种情况的时候,我师兄几乎情绪崩溃,难受的要命。师父不忍心看到师兄这样痛苦,于是打我进入师门那一天,就强迫我练链表这门内功,一开始我很不理解,害怕师父偏心,不把师门最厉害的内功教我。

直到有一天,我亲眼目睹师兄差点因为移动数据而走火入魔,我才明白师父的良苦用心。从此以后,我苦练“链表”这门内功,取得了显著的进步,师父和师兄都夸我有天赋。

链表这门内功大致分为三个层次:

  • 第一层叫做“单向链表”,我只有一个后指针,指向下一个数据;
  • 第二层叫做“双向链表”,我有两个指针,后指针指向下一个数据,前指针指向上一个数据。
  • 第三层叫做“二叉树”,把后指针去掉,换成左右指针。

但我现在的功力还达不到第三层,不过师父说我有这个潜力,练成神功是早晚的事。但可悲的是,我爹一直嫌弃我。

Josh Bloch是 Java 集合框架的作者
Josh Bloch是 Java 集合框架的作者

好了,经过我这么样的一个剖白后,大家对我应该已经不陌生了。那么接下来,我给大家展示一下我的内功心法。

我的内功心法主要是一个私有的静态内部类,叫 Node,也就是节点。

它由三部分组成:

  • 节点上的元素
  • 下一个节点
  • 上一个节点

我画幅图给你们展示下吧。

  • 对于第一个节点来说,prev 为 null;
  • 对于最后一个节点来说,next 为 null;
  • 其余的节点呢,prev 指向前一个,next 指向后一个。

我的内功心法就这么简单,其实我早已经牢记在心了。但师父叮嘱我,每天早上醒来的时候,每天晚上睡觉的时候,一定要默默地背诵一遍。虽然我有些厌烦,但我对师父的教诲从来都是言听计从。

和师兄 ArrayList 一样,我的招式也无外乎“增删改查”这 4 种。在此之前,我们都必须得初始化。

师兄在初始化的时候可以指定大小,也可以不指定,等到添加第一个元素的时候进行第一次扩容。而我,没有大小,只要内存够大,我就可以无穷大。

可以调用 add 方法添加元素:

add 方法内部其实调用的是 linkLast 方法:

linkLast,顾名思义,就是在链表的尾部添加元素:

  • 添加第一个元素的时候,first 和 last 都为 null。
  • 然后新建一个节点 newNode,它的 prev 和 next 也为 null。
  • 然后把 last 和 first 都赋值为 newNode。

此时还不能称之为链表,因为前后节点都是断裂的。

  • 添加第二个元素的时候,first 和 last 都指向的是第一个节点。
  • 然后新建一个节点 newNode,它的 prev 指向的是第一个节点,next 为 null。
  • 然后把第一个节点的 next 赋值为 newNode。

此时的链表还不完整。

  • 添加第三个元素的时候,first 指向的是第一个节点,last 指向的是最后一个节点。
  • 然后新建一个节点 newNode,它的 prev 指向的是第二个节点,next 为 null。
  • 然后把第二个节点的 next 赋值为 newNode。

此时的链表已经完整了。

我这个增的招式,还可以演化成另外两个版本:

  • 方法将元素添加到第一位;
  • 方法将元素添加到末尾。

addFirst 内部其实调用的是 linkFirst:

linkFirst 负责把新的节点设为 first,并将新的 first 的 next 更新为之前的 first。

addLast 的内核其实和 addFirst 差不多,内部调用的是 linkLast 方法,前面分析过了。

我这个删的招式还挺多的:

  • :删除第一个节点
  • :删除指定位置的节点
  • :删除指定元素的节点
  • :删除第一个节点
  • :删除最后一个节点

内部调用的是 ,所以这两个招式的功效一样。

内部其实调用的是 unlink 方法。

unlink 方法其实很好理解,就是更新当前节点的 next 和 prev,然后把当前节点上的元素设为 null。

remove(Object) 内部也调用了 unlink 方法,只不过在此之前要先找到元素所在的节点:

元素为 null 的时候,必须使用 == 来判断;元素为非 null 的时候,要使用 equals 来判断。

removeFirst 内部调用的是 unlinkFirst 方法:

unlinkFirst 负责的就是把第一个节点毁尸灭迹,并且捎带把后一个节点的 prev 设为 null。

可以调用 方法来更新元素:

来看一下 方法:

来看一下node方法:

:也就是右移一位,相当于除以 2。对于计算机来说,移位比除法运算效率更高,因为数据在计算机内部都是以二进制存储的。

换句话说,node 方法会对下标进行一个初步判断,如果靠近前半截,就从下标 0 开始遍历;如果靠近后半截,就从末尾开始遍历,这样可以提高效率,最大能提高一半的效率。

找到指定下标的节点就简单了,直接把原有节点的元素替换成新的节点就 OK 了,prev 和 next 都不用改动。

我这个查的招式可以分为两种:

  • indexOf(Object):查找某个元素所在的位置
  • get(int):查找某个位置上的元素

来看一下 indexOf 方法的源码。

get 方法的内核其实还是 node 方法,node 方法之前已经说明过了,这里略过。

其实,查这个招式还可以演化为其他的一些,比如说:

  • 方法用于获取第一个元素;
  • 方法用于获取最后一个元素;
  • 和 方法用于删除并返回第一个元素(两个方法尽管名字不同,但方法体是完全相同的);
  • 方法用于删除并返回最后一个元素;
  • 方法用于返回但不删除第一个元素。

说句实在话,我不是很喜欢和师兄 ArrayList 拿来比较,因为我们各自修炼的内功不同,没有孰高孰低。

虽然师兄经常喊我一声师弟,但我们之间其实挺和谐的。但我知道,在外人眼里,同门师兄弟,总要一较高下的。

比如说,我们俩在增删改查时候的时间复杂度。

也许这就是命运吧,从我进入师门的那天起,这种争论就一直没有停息过。

无论外人怎么看待我们,在我眼里,师兄永远都是一哥,我敬重他,他也愿意保护我。

好戏在后头,等着瞧吧。

我这里先简单聊一下,权当抛砖引玉。

想象一下,你在玩一款游戏,游戏中有一个道具栏,你需要不断地往里面添加、删除道具。如果你使用的是我的师兄 ArrayList,那么每次添加、删除道具时都需要将后面的道具向后移动或向前移动,这样就会非常耗费时间。但是如果你使用的是我 LinkedList,那么只需要将新道具插入到链表中的指定位置,或者将要删除的道具从链表中删除即可,这样就可以快速地完成道具栏的更新。

除了游戏中的道具栏,我 LinkedList 还可以用于实现 LRU(Least Recently Used)缓存淘汰算法。LRU 缓存淘汰算法是一种常用的缓存淘汰策略,它的基本思想是,当缓存空间不够时,优先淘汰最近最少使用的缓存数据。在实现 LRU 缓存淘汰算法时,你可以使用我 LinkedList 来存储缓存数据,每次访问缓存数据时,将该数据从链表中删除并移动到链表的头部,这样链表的尾部就是最近最少使用的缓存数据,当缓存空间不够时,只需要将链表尾部的缓存数据淘汰即可。

总之,各有各的好,且行且珍惜。

如果你打算通过我来练练手,那么推荐你试一下 LeetCode 的 002.两数相加、019.删除链表的第 N 个节点 题目,我把题解链接放在了技术派上:

  • 002.两数相加
  • 019.删除链表的第 N 个节点

GitHub 上标星 10000+ 的开源知识库《二哥的 Java 进阶之路》第一版 PDF 终于来了!包括Java基础语法、数组&字符串、OOP、集合框架、Java IO、异常处理、Java 新特性、网络编程、NIO、并发编程、JVM等等,共计 32 万余字,500+张手绘图,可以说是通俗易懂、风趣幽默……详情戳:太赞了,GitHub 上标星 10000+ 的 Java 教程

微信搜 沉默王二 或扫描下方二维码关注二哥的原创公众号沉默王二,回复 222 即可免费领取。

讲真,Stack 这个类在 Java 应用中并不常用,但栈这个数据结构在整个计算机体系中却十分重要。所以我们还是放到集合框架里来讲一讲。

栈(stack),有些地方喜欢称呼它为堆栈,我就很不喜欢,很容易和 heap(堆)搞混,尤其是对于新手来说,简直就是虐心。

栈是一种非常有用的数据结构,它就像一摞盘子,第一个放在最下面,第二个放在第一个上面,第三个放在第二个上面,最后一个放在最上面。

对于这一摞盘子,我们可以做两件事情:

  • 在最上面放一个新盘子
  • 把顶部的盘子拿走

这两件事情做起来很容易,但如果从中间或者底部抽出来一个盘子,就很难办到。如果我们想要拿到最下面的盘子,就必须把它上面的所有盘子都拿走,像这样的一个操作,我们称之为后进先出,也就是“Last In First Out”(简称 LIFO)——最后的一个进的,最先出去。

对于栈这样一个数据结构来说,它有两个常见的动作:

  • push,中文释义有很多种,我个人更喜欢叫它“压入”,非常形象。当我们要把一个元素放入栈的顶部,这个动作就叫做 push。
  • pop,同样的,我个人更喜欢叫它“弹出”,带有很强烈的动画效果,有没有?当我们要从栈中移除一个元素时,这个动作就叫做 pop。

对于上面这幅图来说,3 这个元素最后放进去,却是最先被移除的——遵循 LIFO 的原则。

明白了栈的基本操作后,我们需要去深入地思考一下,栈是如何工作的。换句话说,为了使栈这个数据结构按照栈的方式去工作,它需要什么?

1)栈需要有一个指针,我们称之为 ,用它来指向栈中最顶部的那个元素。

2)当我们初始化一个栈的时候,我们把 的值设置为 ,这样我们就可以通过 来判断栈是否为空。

3)当我们要在栈中压入一个元素的时候,我们把 的值加 1,然后把新压入的元素指向 TOP。

4)当我们要从栈中弹出一个元素的时候,我们把 的值减 1,然后把保持在最顶部的那个元素指向 TOP。

5)当我们压入一个元素的时候,需要检查栈是否已经满了。也就是说,需要有一个 的方法来判断。

6)当我们要弹出一个元素的时候,需要检查栈是否已经空了。也就是说,需要有一个 的方法来判断。

空栈的时候,TOP 等于 -1;把元素 1 压入栈中的时候, 为 1,TOP 加 1 变为 0;把元素 2 压入栈中的时候, 为 2,TOP 加 1 变为 1;把元素 3 压入栈中的时候, 为 3,TOP 加 1 变为 2;把元素 3 从栈中弹出后,返回元素 ,TOP 减 1 变为 1。

假设栈中的元素是 int 类型,我们可以用 Java 语言来自定义一个最简单的栈。它需要 3 个字段:

  • ,一个 int 类型的数组,来存放数据
  • ,一个 int 类型的标记
  • ,一个 int 类型的容量

初始化栈:

往栈中压入元素:

从栈中弹出元素:

返回栈的大小:

检查栈是否为空:

检查栈是否已经满了:

来个 方法直接测试下:

打印结果如下所示:

由于我们是通过数组来实现的栈,所以 和 的时间复杂度就是 。

尽管栈是一种非常简单的数据结构,通过上面的代码大家应该也能感受得出来,轻而易举地就实现了,但是栈却是一种非常强有力的数据结构,可以在很多场景中使用,比如说:

1)反转一串字符:由于栈是 的,所以反转一串字符很容易,按照正常的顺序把字符压入栈中,然后再弹出来就行了。

2)用于计算器:记得我实习的时候,公司就给我们新人安排了我们一个小项目——模仿一个 Win 7 的计算机,用来考察我们是不是真材实料,要想计算一个复杂的表达式,比如说 ,就需要一个栈来容纳这些数字和运算符,然后按照优先级弹出后进行计算。

嗯,这个计算要比想象中复杂一些,新手同学可以私底下实现一下,不仅能够提高对栈这种数据结构的理解,还能对运算符的一个优先级进行思考。

很显然,栈,给我赢得了一次实习的机会,避免了被刷下去的危机。

3)用于浏览器:浏览器的后退按钮会把我们访问的 URL 压入一个栈中,每次我们访问一个新的页面,新的 URL 就压入了栈的顶部,当我们点了后退按钮,最新的那个 URL 就从栈中移除,之前的那个 URL 就被访问到了。

好了,下课,今天的栈就到此为止吧。

其实 Java 已经帮我们实现了一个栈,就是 ,它继承自 ,是线程安全的,有点 StringBuffer 的感觉,笨笨的。

先来个简单的例子:

Stack 类并不复杂,仅有几个重要的方法,比如说 、、、、 等等。

我们来看一下 方法的源码:

方法虽然没有 synchronized 关键字,但调用了 类的 方法,该方法上添加了 关键字。

再来看一下 方法的源码:

该方法添加了 关键字,并且先调用 方法获取到栈顶元素:

接着调用 Vector 类的 方法移除栈顶元素。

注意该方法如果移除的不是栈顶元素,还会调用 进行数组的拷贝,因为栈的底层是由数组实现的。

栈是一种非常有用的数据结构,它的特点是后进先出,可以用来反转一串字符、实现计算器、浏览器的后退按钮等等。

虽然 Stack 类并不常用,但栈这个数据结构却很重要。在 Java 中,推荐使用 ArrayDeque 来代替 Stack,因为 ArrayDeque 是非线程安全的,性能更好。

如果想通过 LeetCode 进行练习的话,可以尝试一下这道题:

有效的括号,我把题解放到了技术派上,大家可以参考。


GitHub 上标星 10000+ 的开源知识库《二哥的 Java 进阶之路》第一版 PDF 终于来了!包括Java基础语法、数组&字符串、OOP、集合框架、Java IO、异常处理、Java 新特性、网络编程、NIO、并发编程、JVM等等,共计 32 万余字,500+张手绘图,可以说是通俗易懂、风趣幽默……详情戳:太赞了,GitHub 上标星 10000+ 的 Java 教程

微信搜 沉默王二 或扫描下方二维码关注二哥的原创公众号沉默王二,回复 222 即可免费领取。

这篇文章将会详细透彻地讲清楚 Java 的 HashMap,包括 hash 方法的原理、HashMap 的扩容机制、HashMap 的加载因子为什么是 0.75 而不是 0.6、0.8,以及 HashMap 为什么是线程不安全的,基本上 HashMap 的常见面试题,都会在这一篇文章里讲明白。

HashMap 是 Java 中常用的数据结构之一,用于存储键值对。在 HashMap 中,每个键都映射到一个唯一的值,可以通过键来快速访问对应的值,算法时间复杂度可以达到 O(1)。

HashMap 不仅在日常开发中经常用到,在面试中也是重点考察的对象。

以下是 HashMap 增删改查的简单例子:

1)增加元素

将一个键值对(元素)添加到 HashMap 中,可以使用 put() 方法。例如,将名字和年龄作为键值对添加到 HashMap 中:

2)删除元素

从 HashMap 中删除一个键值对,可以使用 remove() 方法。例如,删除名字为 "沉默" 的键值对:

3)修改元素

修改 HashMap 中的一个键值对,可以使用 put() 方法。例如,将名字为 "沉默" 的年龄修改为 30:

为什么和添加元素的方法一样呢?这个我们后面会讲,先简单说一下,是因为 HashMap 的键是唯一的,所以再次 put 的时候会覆盖掉之前的键值对。

4)查找元素

从 HashMap 中查找一个键对应的值,可以使用 get() 方法。例如,查找名字为 "沉默" 的年龄:

在实际应用中,HashMap 可以用于缓存、索引等场景。例如,可以将用户 ID 作为键,用户信息作为值,将用户信息缓存到 HashMap 中,以便快速查找。又如,可以将关键字作为键,文档 ID 列表作为值,将文档索引缓存到 HashMap 中,以便快速搜索文档。

HashMap 的实现原理是基于哈希表的,它的底层是一个数组,数组的每个位置可能是一个链表或红黑树,也可能只是一个键值对(后面会讲)。当添加一个键值对时,HashMap 会根据键的哈希值计算出该键对应的数组下标(索引),然后将键值对插入到对应的位置。

当通过键查找值时,HashMap 也会根据键的哈希值计算出数组下标,并查找对应的值。

简单了解 HashMap 后,我们来讨论第一个问题:hash 方法的原理,对吃透 HashMap 会大有帮助。

来看一下 hash 方法的源码(JDK 8 中的 HashMap):

这段代码究竟是用来干嘛的呢?

将 key 的 hashCode 值进行处理,得到最终的哈希值

怎么理解这句话呢?不要着急。

我们来 new 一个 HashMap,并通过 put 方法添加一个元素。

来看一下 put 方法的源码。

看到 hash 方法的身影了吧?

前面也说了,HashMap 的底层是通过数组的形式实现的,初始大小是 16(这个后面会讲),先记住。

也就是说,HashMap 在添加第一个元素的时候,需要通过键的哈希码在大小为 16 的数组中确定一个位置(索引),怎么确定呢?

为了方便大家直观的感受,我这里画了一副图,16 个方格子(可以把它想象成一个一个桶),每个格子都有一个编号,对应大小为 16 的数组下标(索引)。

现在,我们要把 key 为 “chenmo”,value 为“沉默”的键值对放到这 16 个格子中的一个。

怎么确定位置(索引)呢?

我先告诉大家结论,通过这个与运算 ,其中变量 n 为数组的长度,变量 hash 就是通过 方法计算后的结果。

那“chenmo”这个 key 计算后的位置(索引)是多少呢?

答案是 8,也就是说 会把 key 为 “chenmo”,value 为“沉默”的键值对放到下标为 8 的位置上(也就是索引为 8 的桶上)。

这样大家就会对 HashMap 存放键值对(元素)的时候有一个大致的印象。其中的一点是,hash 方法对计算键值对的位置起到了至关重要的作用。

回到 hash 方法:

下面是对该方法的一些解释:

  • 参数 key:需要计算哈希码的键值。
  • :这是一个三目运算符,如果键值为 null,则哈希码为 0(依旧是说如果键为 null,则存放在第一个位置);否则,通过调用方法获取键的哈希码,并将其与右移 16 位的哈希码进行异或运算。
  • 运算符:异或运算符是 Java 中的一种位运算符,它用于将两个数的二进制位进行比较,如果相同则为 0,不同则为 1。
  • :将哈希码向右移动 16 位,相当于将原来的哈希码分成了两个 16 位的部分。
  • 最终返回的是经过异或运算后得到的哈希码值。

这短短的一行代码,汇聚不少计算机巨佬们的聪明才智。

理论上,哈希值(哈希码)是一个 int 类型,范围从- 到 。

前后加起来大概 40 亿的映射空间,只要哈希值映射得比较均匀松散,一般是不会出现哈希碰撞(哈希冲突会降低 HashMap 的效率)。

但问题是一个 40 亿长度的数组,内存是放不下的。HashMap 扩容之前的数组初始大小只有 16,所以这个哈希值是不能直接拿来用的,用之前要和数组的长度做与运算(前文提到的 ,有些地方叫取模预算,有些地方叫取余运算),用得到的值来访问数组下标才行。

那这里就顺带补充一些取模预算/取余运算和与运算的知识点哈。

取模运算(Modulo Operation)和取余运算(Remainder Operation)从严格意义上来讲,是两种不同的运算方式,它们在计算机中的实现也不同。

在 Java 中,通常使用 % 运算符来表示取余,用 来表示取模。

  • 当操作数都是正数的话,取模运算和取余运算的结果是一样的。
  • 只有当操作数出现负数的情况,结果才会有所不同。
  • 取模运算的商向负无穷靠近;取余运算的商向 0 靠近。这是导致它们两个在处理有负数情况下,结果不同的根本原因。
  • 当数组的长度是 2 的 n 次方,或者 n 次幂,或者 n 的整数倍时,取模运算/取余运算可以用位运算来代替,效率更高,毕竟计算机本身只认二进制嘛。

我们通过一个实际的例子来看一下。

输出结果如下所示:

为什么会有这样的结果呢?

首先,我们来考虑一下常规除法。当我们将一个数除以另一个数时,我们将得到一个商和一个余数。

例如,当我们把 7 除以 3 时,我们得到商 2 和余数 1,因为 (7 = 3 × 2 + 1)。

推荐阅读:Java 取模和取余

01、取余

余数的定义是基于常规除法的,所以它的符号总是与被除数相同。商趋向于 0。

例如,对于 ,余数是 。因为 -7 / 3 可以有两种结果,一种是商 -2 余 -1;一种是商 -3 余 2,对吧?

因为取余的商趋向于 0,-2 比 -3 更接近于 0,所以取余的结果是 -1。

02、取模

取模也是基于除法的,只不过它的符号总是与除数相同。商趋向于负无穷。

例如,对于 ,结果是 。同理,因为 -7 / 3 可以有两种结果,一种是商 -2 余 -1;一种是商 -3 余 2,对吧?

因为取模的商趋向于负无穷,-3 比 -2 更接近于负无穷,所以取模的结果是 2。

需要注意的是,不管是取模还是取余,除数都不能为 0,因为取模和取余都是基于除法运算的。

03、与运算

当除数和被除数都是正数的情况下,取模运算和取余运算的结果是一样的。

比如说,7 对 3 取余,和 7 对 3 取模,结果都是 1。因为两者都是基于除法运算的,7 / 3 的商是 2,余数是 1。

于是,我们会在很多地方看到,取余就是取模,取模就是取余。这是一种不准确的说法,基于操作数都是正数的情况下

对于 HashMap 来说,它需要通过 来确定元素在数组中的位置,这种做法可以在很大程度上让元素均匀的分布在数组中。

比如说,数组长度是 3,hash 是 7,那么 7 % 3 的结果就是 1,也就是此时可以把元素放在下标为 1 的位置。

当 hash 是 8,8 % 3 的结果就是 2,也就是可以把元素放在下标为 2 的位置。

当 hash 是 9,9 % 3 的结果就是 0,也就是可以把元素放在下标为 0 的位置上。

是不是很奇妙,数组的大小为 3,刚好 3 个位置都利用上了。

那为什么 HashMap 在计算下标的时候,并没有直接使用取余运算(或者取模运算),而是直接使用位与运算 & 呢?

因为当数组的长度是 2 的 n 次方时,。

比如说 9 % 4 = 1,9 的二进制是 1001,4 - 1 = 3,3 的二进制是 0011,9 & 3 = 1001 & 0011 = 0001 = 1。

再比如说 10 % 4 = 2,10 的二进制是 1010,4 - 1 = 3,3 的二进制是 0011,10 & 3 = 1010 & 0011 = 0010 = 2。

当数组的长度不是 2 的 n 次方时, 和 的结果就不一致了。

比如说 7 % 3 = 1,7 的二进制是 0111,3 - 1 = 2,2 的二进制是 0010,7 & 2 = 0111 & 0010 = 0010 = 2。

那为什么呢?

因为从二进制角度来看,hash / length = hash / ${2^n}$ = hash >> n,即把 hash 右移 n 位,此时得到了 hash / ${2^n}$ 的商。

而被移调的部分,则是 hash % ${2^n}$,也就是余数。

${2^n}$ 的二进制形式为 1,后面跟着 n 个 0,那 ${2^n}$ - 1 的二进制则是 n 个 1。例如 8 = ${2^3}$,二进制是 1000,7 = ${2^3}$ - 1,二进制为 0111。

的操作是求 hash 除以 ${2^n}$ 的余数。在二进制中,这个操作的结果就是 hash 的二进制表示中最低 n 位的值。

因为在 ${2^n}$ 取模的操作中,高于 ${2^n}$ 表示位的所有数值对结果没有贡献,只有低于这个阈值的部分才决定余数。

比如说 26 的二进制是 11010,要计算 26 % 8,8 是 ${2^3}$,所以我们关注的是 26 的二进制表示中最低 3 位:11010 的最低 3 位是 010。

010 对应于十进制中的 2,26 % 8 的结果是 2。

当执行时,实际上是保留 hash 二进制表示的最低 n 位,其他高位都被清零。

& 与运算:两个操作数中位都为 1,结果才为 1,否则结果为 0。

举个例子,hash 为 14,n 为 3,也就是数组长度为 ${2^3}$,也就是 8。

保留 14 的最低 3 位,高位被清零。

从此,两个运算 和 有了完美的闭环。在计算机中,位运算的速度要远高于取余运算,因为计算机本质上就是二进制嘛。

HashMap 的取模运算有两处。

一处是往 HashMap 中 put 的时候(会调用私有的 方法):

其中 为取模运算,为什么没用 ,我们随后解释。

一处是从 HashMap 中 get 的时候(会调用 方法):

看到没,取模运算 再次出现,说简单点,就是把键的哈希码经过 方法计算后,再和(数组长度-1)做了一个“与”运算。

可能大家在疑惑:取模运算难道不该用 吗?为什么要用位运算 呢

这是因为 运算比 更加高效,并且当 b 为 2 的 n 次方时,存在下面这样一个公式。

a % b = a & (b-1)

用 ${2^n}$ 替换下 b 就是:

a % ${2^n}$ = a & (${2^n}$-1)

我们来验证一下,假如 a = 14,b = 8,也就是 ${2^3}$,n=3。

14%8(余数为 6)。

14 的二进制为 1110,8 的二进制 1000,8-1 = 7,7 的二进制为 0111,1110&0111=0110,也就是 0${20}$+1`*`${21}$+1${22}$+0`*`${23}$=0+2+4+0=6,14%8 刚好也等于 6。

害,计算机就是这么讲道理,没办法,😝

这也正好解释了为什么 HashMap 的数组长度要取 2 的整次方

为什么会这样巧呢?

因为(数组长度-1)正好相当于一个“低位掩码”——这个掩码的低位最好全是 1,这样 & 操作才有意义,否则结果就肯定是 0。

a&b 操作的结果是:a、b 中对应位同时为 1,则对应结果位为 1,否则为 0。例如 5&3=1,5 的二进制是 0101,3 的二进制是 0011,5&3=0001=1。

2 的整次幂刚好是偶数,偶数-1 是奇数,奇数的二进制最后一位是 1,保证了 的最后一位可能为 0,也可能为 1(取决于 hash 的值),即 & 运算后的结果可能为偶数,也可能为奇数,这样便可以保证哈希值的均匀分布。

换句话说,& 操作的结果就是将哈希值的高位全部归零,只保留低位值。

假设某哈希值的二进制为 ,用它来做 & 运算,我们来看一下结果。

我们知道,HashMap 的初始长度为 16,16-1=15,二进制是 (高位用 0 来补齐):

因为 15 的高位全部是 0,所以 & 运算后的高位结果肯定也是 0,只剩下 4 个低位 ,也就是十进制的 5。

这样,哈希值为 的键就会放在数组的第 5 个位置上。

当然了,如果你是新手,上面这些 01 串看不太懂,也没关系。记住 &运算是为了计算数组的下标就可以了。

  • put 的时候计算下标,把键值对放到对应的桶上。
  • get 的时候通过下标,把键值对从对应的桶上取出来。

看下面这个图。

某哈希值为 ,将它右移 16 位(h >>> 16),刚好是 ,再进行异或操作(h ^ (h >>> 16)),结果是

异或()运算是基于二进制的位运算,采用符号 XOR 或者来表示,运算规则是:如果是同值取 0、异值取 1

由于混合了原来哈希值的高位和低位,所以低位的随机性加大了(掺杂了部分高位的特征,高位的信息也得到了保留)。

结果再与数组长度-1()做取模运算,得到的下标就是 ,也就是 5。

还记得之前我们假设的某哈希值 吗?在没有调用 hash 方法之前,与 15 做取模运算后的结果也是 5,我们不妨来看看调用 hash 之后的取模运算结果是多少。

某哈希值 (补齐 32 位),将它右移 16 位(h >>> 16),刚好是 ,再进行异或操作(h ^ (h >>> 16)),结果是

结果再与数组长度-1()做取模运算,得到的下标就是 ,也就是 0。

综上所述,hash 方法是用来做哈希值优化的,把哈希值右移 16 位,也就正好是自己长度的一半,之后与原哈希值做异或运算,这样就混合了原哈希值中的高位和低位,增大了随机性。

说白了,hash 方法就是为了增加随机性,让数据元素更加均衡的分布,减少碰撞

我这里写了一段测试代码,假如 HashMap 的容量就是第一次扩容时候的 16,我在里面放了五个键值对,来看一下键的 hash 值(经过 方法计算后的哈希码)和索引(取模运算后)

输出结果如下所示:

也就是说,此时还没有发生哈希冲突,索引值都是比较均匀分布的,5、6、8、9、11,这其中的很大一部分功劳,就来自于 hash 方法。

hash 方法的主要作用是将 key 的 hashCode 值进行处理,得到最终的哈希值。由于 key 的 hashCode 值是不确定的,可能会出现哈希冲突,因此需要将哈希值通过一定的算法映射到 HashMap 的实际存储位置上。

hash 方法的原理是,先获取 key 对象的 hashCode 值,然后将其高位与低位进行异或操作,得到一个新的哈希值。为什么要进行异或操作呢?因为对于 hashCode 的高位和低位,它们的分布是比较均匀的,如果只是简单地将它们加起来或者进行位运算,容易出现哈希冲突,而异或操作可以避免这个问题。

然后将新的哈希值取模(mod),得到一个实际的存储位置。这个取模操作的目的是将哈希值映射到桶(Bucket)的索引上,桶是 HashMap 中的一个数组,每个桶中会存储着一个链表(或者红黑树),装载哈希值相同的键值对(没有相同哈希值的话就只存储一个键值对)。

总的来说,HashMap 的 hash 方法就是将 key 对象的 hashCode 值进行处理,得到最终的哈希值,并通过一定的算法映射到实际的存储位置上。这个过程决定了 HashMap 内部键值对的查找效率。

好,理解了 hash 方法后我们来看第二个问题,HashMap 的扩容机制。

大家都知道,数组一旦初始化后大小就无法改变了,所以就有了 ArrayList这种“动态数组”,可以自动扩容。

HashMap 的底层用的也是数组。向 HashMap 里不停地添加元素,当数组无法装载更多元素时,就需要对数组进行扩容,以便装入更多的元素;除此之外,容量的提升也会相应地提高查询效率,因为“桶(坑)”更多了嘛,原来需要通过链表存储的(查询的时候需要遍历),扩容后可能就有自己专属的“坑位”了(直接就能查出来)。

来看这个例子,容量我们定位 16:

来看输出结果:

看到没?

  • fangxiaowan(方小婉)和 yaoxiaojuan(姚小娟)的索引都是 6;
  • chenqingyang(陈清扬)和 yexin(叶辛)的索引都是 9

这就意味着,要采用拉链法(后面会讲)将他们放在同一个索引的链表上。查询的时候,就不能直接通过索引的方式直接拿到(时间复杂度为 O(1)),而要通过遍历的方式(时间复杂度为 O(n))。

那假如把数组的长度由 16 扩容为 32 呢?

将之前示例中的 n 由 16 改为 32 即可得到如下的答案:

可以看到:

  • 虽然 chenqingyang(陈清扬)和 yexin(叶辛)的索引仍然是 9。
  • 但 fangxiaowan(方小婉)的索引为 6,yaoxiaojuan(姚小娟)的索引由 6 变为 22,各自都有坑了。

当然了,数组是无法自动扩容的,所以如果要扩容的话,就需要新建一个大的数组,然后把之前小的数组的元素复制过去,并且要重新计算哈希值和重新分配桶(重新散列),这个过程也是挺耗时的。

HashMap 的扩容是通过 resize 方法来实现的,JDK 8 中融入了红黑树(链表长度超过 8 的时候,会将链表转化为红黑树来提高查询效率),对于新手来说,可能比较难理解。

为了减轻大家的学习压力,就还使用 JDK 7 的源码,搞清楚了 JDK 7 的,再看 JDK 8 的就会轻松很多。

来看 Java7 的 resize 方法源码,我加了注释:

该方法接收一个新的容量 newCapacity,然后将 HashMap 的容量扩大到 newCapacity。

首先,方法获取当前 HashMap 的旧数组 oldTable 和旧容量 oldCapacity。如果旧容量已经达到 HashMap 支持的最大容量 MAXIMUM_CAPACITY( 2 的 30 次方),就将新的阈值 threshold 调整为 Integer.MAX_VALUE(2 的 31 次方 - 1),这是因为 HashMap 的容量不能超过 MAXIMUM_CAPACITY。

因为 2,147,483,647(Integer.MAX_VALUE) - 1,073,741,824(MAXIMUM_CAPACITY) = 1,073,741,823,刚好相差一倍(HashMap 每次扩容都是之前的一倍)。

接着,方法创建一个新的数组 newTable,并将旧数组 oldTable 中的元素转移到新数组 newTable 中。转移过程是通过调用 transfer 方法来实现的。该方法遍历旧数组中的每个桶,并将每个桶中的键值对重新计算哈希值后,将其插入到新数组对应的桶中。

转移完成后,方法将 HashMap 内部的数组引用 table 指向新数组 newTable,并重新计算阈值 threshold。新的阈值是新容量 newCapacity 乘以负载因子 loadFactor 的结果,但如果计算结果超过了 HashMap 支持的最大容量 MAXIMUM_CAPACITY,则将阈值设置为 MAXIMUM_CAPACITY + 1,这是因为 HashMap 的元素数量不能超过 MAXIMUM_CAPACITY。

那 newCapacity 是如何计算的呢?

新容量 newCapacity 被初始化为原容量 oldCapacity 的两倍。然后,如果 newCapacity 超过了 HashMap 的容量限制 MAXIMUM_CAPACITY(2^30),就将 newCapacity 设置为 MAXIMUM_CAPACITY。如果 newCapacity 小于默认初始容量 DEFAULT_INITIAL_CAPACITY(16),就将 newCapacity 设置为 DEFAULT_INITIAL_CAPACITY。这样可以避免新容量太小或太大导致哈希冲突过多或者浪费空间。

Java 8 的时候,newCapacity 的计算方式发生了一些细微的变化。

注意, 变成了 ,出现了左移(),这里简单介绍一下:

十进制 39 用 8 位的二进制来表示,就是 00,左移两位后是 (低位用 0 补上),再转成十进制数就是 156。

移位运算通常可以用来代替乘法运算和除法运算。例如,将 0010011(39)左移两位就是 (156),刚好变成了原来的 4 倍。

实际上呢,二进制数左移后会变成原来的 2 倍、4 倍、8 倍,记住这个就好。

接下来,来说 transfer 方法,该方法用来转移,将旧的小数组元素拷贝到新的大数组中。

该方法接受一个新的 Entry 数组 newTable 和一个布尔值 rehash 作为参数,其中 newTable 表示新的哈希表,rehash 表示是否需要重新计算键的哈希值。

在方法中,首先获取新哈希表(数组)的长度 newCapacity,然后遍历旧哈希表中的每个 Entry。对于每个 Entry,使用拉链法将相同 key 值的不同 value 值存储在同一个链表中。如果 rehash 为 true,则需要重新计算键的哈希值,并将新的哈希值存储在 Entry 的 hash 属性中。

接着,根据新哈希表的长度和键的哈希值,计算 Entry 在新数组中的位置 i,然后将该 Entry 添加到新数组的 i 位置上。由于新元素需要被放在链表的头部,因此将新元素的下一个元素设置为当前数组位置上的元素。

最后,遍历完旧哈希表中的所有元素后,转移工作完成,新的哈希表 newTable 已经包含了旧哈希表中的所有元素。

注意,,也就是使用了单链表的头插入方式,同一位置上新元素总会被放在链表的头部位置;这样先放在一个索引上的元素最终会被放到链表的尾部,这就会导致在旧数组中同一个链表上的元素,通过重新计算索引位置后,有可能被放到了新数组的不同位置上

为了解决这个问题,Java 8 做了很大的优化(讲扩容的时候会讲到)。

JDK 8 的扩容源代码:

1、获取原来的数组 table、数组长度 oldCap 和阈值 oldThr。

2、如果原来的数组 table 不为空,则根据扩容规则计算新数组长度 newCap 和新阈值 newThr,然后将原数组中的元素复制到新数组中。

3、如果原来的数组 table 为空但阈值 oldThr 不为零,则说明是通过带参数构造方法创建的 HashMap,此时将阈值作为新数组长度 newCap。

4、如果原来的数组 table 和阈值 oldThr 都为零,则说明是通过无参数构造方法创建的 HashMap,此时将默认初始容量 和默认负载因子 计算出新数组长度 newCap 和新阈值 newThr。

5、计算新阈值 threshold,并将其赋值给成员变量 threshold。

6、创建新数组 newTab,并将其赋值给成员变量 table。

7、如果旧数组 oldTab 不为空,则遍历旧数组的每个元素,将其复制到新数组中。

8、返回新数组 newTab。

在 JDK 7 中,定位元素位置的代码是这样的:

其实就相当于用键的哈希值和数组大小取模,也就是 。

那我们来假设:

  • 数组 table 的长度为 2
  • 键的哈希值为 3、7、5

取模运算后,键发生了哈希冲突,都到 上了。那么扩容前就是这个样子。

数组的容量为 2,key 为 3、7、5 的元素在 上,需要通过拉链法来解决哈希冲突。

假设负载因子 loadFactor 为 1,也就是当元素的个数大于 table 的长度时进行扩容。

扩容后的数组容量为 4。

  • key 3 取模(3%4)后是 3,放在 上。
  • key 7 取模(7%4)后是 3,放在 上的链表头部。
  • key 5 取模(5%4)后是 1,放在 上。

7 跑到 3 的前面了,因为 JDK 7 使用的是头插法。

同时,扩容后的 5 跑到了下标为 1 的位置。

最好的情况就是,扩容后的 7 在 3 的后面,5 在 7 的后面,保持原来的顺序。

JDK 8 完全扭转了这个局面,因为 JDK 8 的哈希算法进行了优化,当数组长度为 2 的幂次方时,能够很巧妙地解决 JDK 7 中遇到的问题。

JDK 8 的扩容代码如下所示:

新索引的计算方式是 ,和 JDK 7 的 没什么大的差别,差别主要在 hash 方法上,JDK 8 是这样:

过将键的返回的 32 位哈希值与这个哈希值无符号右移 16 位的结果进行异或。

JDK 7 是这样:

我们用 JDK 8 的哈希算法来计算一下哈希值,就会发现别有洞天。

假设扩容前的数组长度为 16(n-1 也就是二进制的 0000 1111,1X$20$+1X$21$+1X$22$+1X$23$=1+2+4+8=15),key1 为 5(二进制为 0000 0101),key2 为 21(二进制为 0001 0101)。

  • key1 和 n-1 做 & 运算后为 0000 0101,也就是 5;
  • key2 和 n-1 做 & 运算后为 0000 0101,也就是 5。
  • 此时哈希冲突了,用拉链法来解决哈希冲突。

现在,HashMap 进行了扩容,容量为原来的 2 倍,也就是 32(n-1 也就是二进制的 0001 1111,1X$20$+1X$21$+1X$22$+1X$23$+1X$2^4$=1+2+4+8+16=31)。

  • key1 和 n-1 做 & 运算后为 0000 0101,也就是 5;
  • key2 和 n-1 做 & 运算后为 0001 0101,也就是 21=5+16,也就是数组扩容前的位置+原数组的长度。

神奇吧?

三分恶面渣逆袭:扩容位置变化
三分恶面渣逆袭:扩容位置变化

也就是说,在 JDK 8 的新 hash 算法下,数组扩容后的索引位置,要么就是原来的索引位置,要么就是“原索引+原来的容量”,遵循一定的规律。

三分恶面渣逆袭:扩容节点迁移示意图
三分恶面渣逆袭:扩容节点迁移示意图

当然了,这个功劳既属于新的哈希算法,也离不开 n 为 2 的整数次幂这个前提,这是它俩通力合作后的结果 。

当我们往 HashMap 中不断添加元素时,HashMap 会自动进行扩容操作(条件是元素数量达到负载因子(load factor)乘以数组长度时),以保证其存储的元素数量不会超出其容量限制。

在进行扩容操作时,HashMap 会先将数组的长度扩大一倍,然后将原来的元素重新散列到新的数组中。

由于元素的位置是通过 key 的 hash 和数组长度进行与运算得到的,因此在数组长度扩大后,元素的位置也会发生一些改变。一部分索引不变,另一部分索引为“原索引+旧容量”。

上一个问题提到了加载因子(或者叫负载因子),那么这个问题我们来讨论为什么加载因子是 0.75 而不是 0.6、0.8。

我们知道,HashMap 是用数组+链表/红黑树实现的,我们要想往 HashMap 中添加数据(元素/键值对)或者取数据,就需要确定数据在数组中的下标(索引)。

先把数据的键进行一次 hash:

再做一次取模运算确定下标:

那这样的过程容易产生两个问题:

  • 数组的容量过小,经过哈希计算后的下标,容易出现冲突;
  • 数组的容量过大,导致空间利用率不高。

加载因子是用来表示 HashMap 中数据的填满程度:

加载因子 = 填入哈希表中的数据个数 / 哈希表的长度

这就意味着:

  • 加载因子越小,填满的数据就越少,哈希冲突的几率就减少了,但浪费了空间,而且还会提高扩容的触发几率;
  • 加载因子越大,填满的数据就越多,空间利用率就高,但哈希冲突的几率就变大了。

好难!!!!

这就必须在“哈希冲突”与“空间利用率”两者之间有所取舍,尽量保持平衡,谁也不碍着谁。

我们知道,HashMap 是通过拉链法来解决哈希冲突的。

为了减少哈希冲突发生的概率,当 HashMap 的数组长度达到一个临界值的时候,就会触发扩容,扩容后会将之前小数组中的元素转移到大数组中,这是一个相当耗时的操作。

这个临界值由什么来确定呢?

临界值 = 初始容量 * 加载因子

一开始,HashMap 的容量是 16:

加载因子是 0.75:

也就是说,当 16*0.75=12 时,会触发扩容机制。

为什么加载因子会选择 0.75 呢?为什么不是 0.8、0.6 呢

这跟统计学里的一个很重要的原理——泊松分布有关。

是时候上维基百科了:

泊松分布,是一种统计与概率学里常见到的离散概率分布,由法国数学家西莫恩·德尼·泊松在 1838 年时提出。它会对随机事件的发生次数进行建模,适用于涉及计算在给定的时间段、距离、面积等范围内发生随机事件的次数的应用情形。

阮一峰老师曾在一篇博文中详细的介绍了泊松分布和指数分布,大家可以去看一下。

链接:https://www.ruanyifeng.com/blog/2015/06/poisson-distribution.html

具体是用这么一个公式来表示的。

等号的左边,P 表示概率,N 表示某种函数关系,t 表示时间,n 表示数量。

在 HashMap 的 doc 文档里,曾有这么一段描述:

为了便于大家的理解,这里来重温一下 HashMap 的拉链法和红黑树结构。

Java 8 之前,HashMap 使用链表来解决冲突,即当两个或者多个键映射到同一个桶时,它们被放在同一个桶的链表上。当链表上的节点(Node)过多时,链表会变得很长,查找的效率(LinkedList 的查找效率为 O(n))就会受到影响。

Java 8 中,当链表的节点数超过一个阈值(8)时,链表将转为红黑树(节点为 TreeNode),红黑树(在讲TreeMap时会细说)是一种高效的平衡树结构,能够在 O(log n) 的时间内完成插入、删除和查找等操作。这种结构在节点数很多时,可以提高 HashMap 的性能和可伸缩性。

好,有了这个背景,我们来把上面的 doc 文档翻译为中文:

虽然这段话的本意更多的是表示 jdk 8 中为什么拉链长度超过 8 的时候进行了红黑树转换,但提到了 0.75 这个加载因子,但没提到底为什么。

为了搞清楚到底为什么,我看到了这篇文章:

参考链接:https://segmentfault.com/a/08658

里面提到了一个概念:二项分布(Binomial Distribution)

在做一件事情的时候,其结果的概率只有 2 种情况,和抛硬币一样,不是正面就是反面。

假如,我们做了 N 次实验,那么在每次试验中只有两种可能的结果,并且每次实验是独立的,不同实验之间互不影响,每次实验成功的概率都是一样的。

以此理论为基础:我们往哈希表中扔数据,如果发生哈希冲突就为失败,否则为成功。

我们可以设想,实验的 hash 值是随机的,并且经过 hash 运算的键都会映射到 hash 表的地址空间上,那么这个结果也是随机的。所以,每次 put 的时候就相当于我们在扔一个 16 面(HashMap 第一次扩容后的数组默认长度为 16)的骰子,扔骰子实验那肯定是相互独立的。碰撞发生即扔了 n 次有出现重复数字。

然后,我们的目的是啥呢?

就是掷了 k 次骰子,没有一次是相同的概率,需要尽可能的大些,一般意义上我们肯定要大于 0.5(这个数是个理想数)。

于是,n 次事件里面,碰撞为 0 的概率,由上面公式得:

这个概率值需要大于 0.5,我们认为这样的 hashmap 可以提供很低的碰撞率。所以:

这时候,我们对于该公式其实最想求的时候长度 s 的时候,n 为多少次就应该进行扩容了?而负载因子则是$n/s$的值。所以推导如下:

所以可以得到

其中

这就是一个求 函数极限问题,这里我们先令$s = m+1(m o infty)$则转化为

我们再令 $x = frac{1}{m} (x o 0)$ 则有,

所以

考虑到 HashMap 的容量有一个要求:它必须是 2 的 n 次幂。当加载因子选择了 0.75 就可以保证它与容量的乘积为整数。

除了 0.75,0.5~1 之间还有 0.625(5/8)、0.875(7/8)可选,从中位数的角度,挑 0.75 比较完美。另外,维基百科上说,拉链法(解决哈希冲突的一种)的加载因子最好限制在 0.7-0.8 以下,超过 0.8,查表时的 CPU 缓存不命中(cache missing)会按照指数曲线上升。

综上,0.75 是个比较完美的选择。

HashMap 的加载因子(load factor,直译为加载因子,意译为负载因子)是指哈希表中填充元素的个数与桶的数量的比值,当元素个数达到负载因子与桶的数量的乘积时,就需要进行扩容。这个值一般选择 0.75,是因为这个值可以在时间和空间成本之间做到一个折中,使得哈希表的性能达到较好的表现。

如果负载因子过大,填充因子较多,那么哈希表中的元素就会越来越多地聚集在少数的桶中,这就导致了冲突的增加,这些冲突会导致查找、插入和删除操作的效率下降。同时,这也会导致需要更频繁地进行扩容,进一步降低了性能。

如果负载因子过小,那么桶的数量会很多,虽然可以减少冲突,但是在空间利用上面也会有浪费,因此选择 0.75 是为了取得一个平衡点,即在时间和空间成本之间取得一个比较好的平衡点。

总之,选择 0.75 这个值是为了在时间和空间成本之间达到一个较好的平衡点,既可以保证哈希表的性能表现,又能够充分利用空间。

其实这个问题也不用说太多,但考虑到面试的时候有些面试官会问,那就简单说一下。

三方面原因:

  • 多线程下扩容会死循环
  • 多线程下 put 会导致元素丢失
  • put 和 get 并发时会导致 get 到 null

众所周知,HashMap 是通过拉链法来解决哈希冲突的,也就是当哈希冲突时,会将相同哈希值的键值对通过链表的形式存放起来。

JDK 7 时,采用的是头部插入的方式来存放链表的,也就是下一个冲突的键值对会放在上一个键值对的前面(讲扩容的时候讲过了)。扩容的时候就有可能导致出现环形链表,造成死循环。

resize 方法的源码:

transfer 方法用来转移,将小数组的元素拷贝到新的数组中。

注意 和 这两行代码,就会将同一位置上的新元素被放在链表的头部。

扩容前的样子假如是下面这样子。

那么正常扩容后就是下面这样子。

假设现在有两个线程同时进行扩容,线程 A 在执行到 被挂起,此时线程 A 中:e=3、next=7、e.next=null

线程 B 开始执行,并且完成了数据转移。

此时,7 的 next 为 3,3 的 next 为 null。

随后线程 A 获得 CPU 时间片继续执行 ,将 3 放入新数组对应的位置,执行完此轮循环后线程 A 的情况如下:

执行下一轮循环,此时 e=7,原本线程 A 中 7 的 next 为 5,但由于 table 是线程 A 和线程 B 共享的,而线程 B 顺利执行完后,7 的 next 变成了 3,那么此时线程 A 中,7 的 next 也为 3 了。

采用头部插入的方式,变成了下面这样子:

好像也没什么问题,此时 next = 3,e = 3。

进行下一轮循环,但此时,由于线程 B 将 3 的 next 变为了 null,所以此轮循环应该是最后一轮了。

接下来当执行完 即 3.next=7 后,3 和 7 之间就相互链接了,执行完 后,3 被头插法重新插入到链表中,执行结果如下图所示:

套娃开始,元素 5 也就成了弃婴,惨~~~

不过,JDK 8 时已经修复了这个问题,扩容时会保持链表原来的顺序(嗯,等于说了半天白说了,哈哈,这个面试题确实是这样,很水,但有些面试官又确实比较装逼)。

正常情况下,当发生哈希冲突时,HashMap 是这样的:

但多线程同时执行 put 操作时,如果计算出来的索引位置是相同的,那会造成前一个 key 被后一个 key 覆盖,从而导致元素的丢失。

put 的源码:

问题发生在步骤 ② 这里:

两个线程都执行了 if 语句,假设线程 A 先执行了 ,那 table 是这样的:

接着,线程 B 执行了 ,那 table 是这样的:

3 被干掉了。

线程 1 执行 put 时,因为元素个数超出阈值而导致出现扩容,线程 2 此时执行 get,就有可能出现这个问题。

因为线程 1 执行完 table = newTab 之后,线程 2 中的 table 此时也发生了变化,此时去 get 的时候当然会 get 到 null 了,因为元素还没有转移。

参考链接:

  • https://blog.csdn.net/lonyw/article/details/
  • https://zhuanlan.zhihu.com/p/
  • https://www.zhihu.com/question/
  • https://zhuanlan.zhihu.com/p/

HashMap 是线程不安全的主要是因为它在进行插入、删除和扩容等操作时可能会导致链表的结构发生变化,从而破坏了 HashMap 的不变性。具体来说,如果在一个线程正在遍历 HashMap 的链表时,另外一个线程对该链表进行了修改(比如添加了一个节点),那么就会导致链表的结构发生变化,从而破坏了当前线程正在进行的遍历操作,可能导致遍历失败或者出现死循环等问题。

为了解决这个问题,Java 提供了线程安全的 HashMap 实现类 ConcurrentHashMap。ConcurrentHashMap 内部采用了分段锁(Segment),将整个 Map 拆分为多个小的 HashMap,每个小的 HashMap 都有自己的锁,不同的线程可以同时访问不同的小 Map,从而实现了线程安全。在进行插入、删除和扩容等操作时,只需要锁住当前小 Map,不会对整个 Map 进行锁定,提高了并发访问的效率。

HashMap 是 Java 中最常用的集合之一,它是一种键值对存储的数据结构,可以根据键来快速访问对应的值。以下是对 HashMap 的总结:

  • HashMap 采用数组+链表/红黑树的存储结构,能够在 O(1)的时间复杂度内实现元素的添加、删除、查找等操作。
  • HashMap 是线程不安全的,因此在多线程环境下需要使用ConcurrentHashMap来保证线程安全。
  • HashMap 的扩容机制是通过扩大数组容量和重新计算 hash 值来实现的,扩容时需要重新计算所有元素的 hash 值,因此在元素较多时扩容会影响性能。
  • 在 Java 8 中,HashMap 的实现引入了拉链法、树化等机制来优化大量元素存储的情况,进一步提升了性能。
  • HashMap 中的 key 是唯一的,如果要存储重复的 key,则后面的值会覆盖前面的值。
  • HashMap 的初始容量和加载因子都可以设置,初始容量表示数组的初始大小,加载因子表示数组的填充因子。一般情况下,初始容量为 16,加载因子为 0.75。
  • HashMap 在遍历时是无序的,因此如果需要有序遍历,可以使用TreeMap。

综上所述,HashMap 是一种高效的数据结构,具有快速查找和插入元素的能力,但需要注意线程安全和性能问题。

那如果大家已经掌握了 HashMap,那可以刷一下 LeetCode 的第 001 题、013 题,会用到 HashMap、数组和 for 循环,我把题解链接放在了技术派上:

  • 二哥的 LeetCode 刷题笔记:001.两数之和
  • 二哥的 LeetCode 刷题笔记:013.罗马数字转整数

另外,感谢球友踏歌对文章中的排版错误❎进行指正,文章已经进行了修改,感谢球友的支持。


GitHub 上标星 10000+ 的开源知识库《二哥的 Java 进阶之路》第一版 PDF 终于来了!包括 Java 基础语法、数组&字符串、OOP、集合框架、Java IO、异常处理、Java 新特性、网络编程、NIO、并发编程、JVM 等等,共计 32 万余字,500+张手绘图,可以说是通俗易懂、风趣幽默……详情戳:太赞了,GitHub 上标星 7600+ 的 Java 教程

微信搜 沉默王二 或扫描下方二维码关注二哥的原创公众号沉默王二,回复 222 即可免费领取。

这篇继续换个文风来写,给大家一点新鲜的空气。

俗话说了,“金无足赤人无完人”,HashMap 也不例外,有一种需求它就满足不了,假如我们需要一个按照插入顺序来排列的键值对集合,那 HashMap 就无能为力了。那该怎么办呢?必须得上今天这篇文章的主角:LinkedHashMap。

同学们好啊,还记得 HashMap 那篇吗?我自己感觉写得非常棒啊,既通俗易懂,又深入源码,真的是分析得透透彻彻、清清楚楚、明明白白的。(一不小心又甩了三个成语,有文化吧?)HashMap 哪哪都好,真的,只要你想用键值对,第一时间就应该想到它。

为了提高查找效率,HashMap 在插入的时候对键做了一次哈希算法,这就导致插入的元素是无序的。

对这一点还不太明白的同学,可以再回到 HashMap 那一篇,看看 hash 方法,再看看我对 方法的讲解,就能明白了,我们这里再来回顾一下。

其中这个公式 计算后的值就是键位在数组(桶)中的索引(下标/位置),但这它并不是按照 0、1、2、3、4、5 这样有序的下标将键值对插入到数组当中的,而是有一定的随机性。

比如说默认大小为 16 的 HashMap,如果 put 了 4 个键值对,可能下标是 0、4、9、11,那这样的话,在遍历 HashMap 的时候,就不一定能按照插入顺序来了。

看下面的例子。

来看输出结果

对比一下输出结果就可以看得出来,put 的时候是 沉默、王二、陈清扬的顺序,但遍历的时候就没有按照这个顺序来:沉默、陈清扬、王二,因为 HashMap 是无序的。

那怎么保证键值对的插入顺序呢?

LinkedHashMap 就是为这个需求应运而生的。LinkedHashMap 继承了 HashMap,所以 HashMap 有的关于键值对的功能,它也有了。

在此基础上,LinkedHashMap 内部追加了双向链表,来维护元素的插入顺序。注意下面代码中的 before 和 after,它俩就是用来维护当前元素的前一个元素和后一个元素的顺序的。

关于双向链表,同学们可以回头看一遍我写的 LinkedList 那篇文章,会对理解本篇的 LinkedHashMap 有很大的帮助。

用 LinkedHashMap 替换 HashMap,再来对比一下输出结果。

来看输出结果:

看,LinkedHashMap 是不是保持了插入顺序?这就对了。

在 HashMap 那篇文章里,我有讲解到一点,不知道同学们记不记得,就是 null 会插入到 HashMap 的第一位。

输出的结果是:

虽然 null 最后一位 put 进去的,但在遍历输出的时候,跑到了第一位。

那再来对比看一下 LinkedHashMap。

输出结果是:

null 在最后一位插入,在最后一位输出。

输出结果可以再次证明,HashMap 是无序的,LinkedHashMap 是可以维持插入顺序的

那 LinkedHashMap 是如何做到这一点呢?我相信同学们和我一样,非常希望知道原因。

要想搞清楚,就需要深入研究一下 LinkedHashMap 的源码。LinkedHashMap 并未重写 HashMap 的 方法,而是重写了 方法需要调用的内部方法 。

这是 HashMap 的。

这是 LinkedHashMap 的。

前面曾提到 LinkedHashMap.Entry 继承了 HashMap.Node,并且追加了两个字段 before 和 after,用来维持键值对的关系。

在 LinkedHashMap 中,链表中的节点顺序是按照插入顺序维护的。当使用 put() 方法向 LinkedHashMap 中添加键值对时,会将新节点插入到链表的尾部,并更新 before 和 after 属性,以保证链表的顺序关系——由 方法来完成:

看到了吧,LinkedHashMap 在添加第一个元素的时候,会把 head 赋值为第一个元素,等到第二个元素添加进来的时候,会把第二个元素的 before 赋值为第一个元素,第一个元素的 afer 赋值为第二个元素。

这就保证了键值对是按照插入顺序排列的,明白了吧?

LinkedHashMap 不仅能够维持插入顺序,还能够维持访问顺序。访问包括调用 方法、 方法和 方法。

要维护访问顺序,需要我们在声明 LinkedHashMap 的时候指定三个参数。

第一个参数和第二个参数,看过 HashMap 的同学们应该很熟悉了,指的是初始容量和负载因子。

第三个参数如果为 true 的话,就表示 LinkedHashMap 要维护访问顺序;否则,维护插入顺序。默认是 false。

输出的结果如下所示:

当我们使用 方法访问键位“默”的元素后,输出结果中, 在最后;当我们访问键位“王”的元素后,输出结果中, 在最后, 在倒数第二位。

也就是说,最不经常访问的放在头部,这就有意思了。有意思在哪呢?

我们可以使用 LinkedHashMap 来实现 LRU 缓存,LRU 是 Least Recently Used 的缩写,即最近最少使用,是一种常用的页面置换算法,选择最近最久未使用的页面予以淘汰。

MyLinkedHashMap 是一个自定义类,它继承了 LinkedHashMap,并且重写了 方法——使 Map 最多可容纳 5 个元素,超出后就淘汰。

我们来测试一下。

输出结果如下所示:

和 依次被淘汰出局。

假如在 put “一枚有才华的程序员”之前 get 了键位为“默”的元素:

那输出结果就变了,对吧?

和 被淘汰出局了。

那 LinkedHashMap 是如何来维持访问顺序呢?同学们感兴趣的话,可以研究一下下面这三个方法。

会在调用 方法的时候被调用, 会在调用 方法的时候被调用, 会在调用 方法的时候被调用。

我来以 为例来讲解一下。

哪个元素被 get 就把哪个元素放在最后。了解了吧?

那同学们可能还想知道,为什么 LinkedHashMap 能实现 LRU 缓存,把最不经常访问的那个元素淘汰?

在插入元素的时候,需要调用 方法,该方法最后会调用 方法,这个方法被 LinkedHashMap 重写了。

方法会判断第一个元素是否超出了可容纳的最大范围,如果超出,那就会调用 方法对最不经常访问的那个元素进行删除。

由于 LinkedHashMap 要维护双向链表,所以 LinkedHashMap 在插入、删除操作的时候,花费的时间要比 HashMap 多一些。

这也是没办法的事,对吧,欲戴皇冠必承其重嘛。既然想要维护元素的顺序,总要付出点代价才行。

简单总结一下吧。

首先,我们知道 HashMap 是一种常用的哈希表数据结构,它可以快速地进行键值对的查找和插入操作。但是,HashMap 本身并不保证键值对的顺序,如果我们需要按照插入顺序或访问顺序来遍历键值对,就需要使用 LinkedHashMap 了。

LinkedHashMap 继承自 HashMap,它在 HashMap 的基础上,增加了一个双向链表来维护键值对的顺序。这个链表可以按照插入顺序或访问顺序排序,它的头节点表示最早插入或访问的元素,尾节点表示最晚插入或访问的元素。这个链表的作用就是让 LinkedHashMap 可以保持键值对的顺序,并且可以按照顺序遍历键值对。

LinkedHashMap 还提供了两个构造方法来指定排序方式,分别是按照插入顺序排序和按照访问顺序排序。在按照访问顺序排序的情况下,每次访问一个键值对,都会将该键值对移到链表的尾部,以保证最近访问的元素在最后面。如果需要删除最早加入的元素,可以通过重写 removeEldestEntry() 方法来实现。

总之,LinkedHashMap 通过维护一个双向链表来保持键值对的顺序,可以按照插入顺序或访问顺序来遍历键值对。如果你需要按照顺序来遍历键值对,那么 LinkedHashMap 就是你的不二选择了!


GitHub 上标星 10000+ 的开源知识库《二哥的 Java 进阶之路》第一版 PDF 终于来了!包括Java基础语法、数组&字符串、OOP、集合框架、Java IO、异常处理、Java 新特性、网络编程、NIO、并发编程、JVM等等,共计 32 万余字,500+张手绘图,可以说是通俗易懂、风趣幽默……详情戳:太赞了,GitHub 上标星 10000+ 的 Java 教程

微信搜 沉默王二 或扫描下方二维码关注二哥的原创公众号沉默王二,回复 222 即可免费领取。

下面有请王老师上台,来给大家讲一讲 TreeMap,鼓掌了!

之前 LinkedHashMap 那篇文章里提到过了,HashMap 是无序的,所以有了 LinkedHashMap,加上了双向链表后,就可以保持元素的插入顺序和访问顺序,那 TreeMap 呢?

TreeMap 由红黑树实现,可以保持元素的自然顺序,或者实现了 Comparator 接口的自定义顺序。

可能有些同学不了解红黑树,我这里来普及一下:

红黑树(英语:Red–black tree)是一种自平衡的二叉查找树(Binary Search Tree),结构复杂,但却有着良好的性能,完成查找、插入和删除的时间复杂度均为 log(n)。

二叉查找树是一种常见的树形结构,它的每个节点都包含一个键值对。每个节点的左子树节点的键值小于该节点的键值,右子树节点的键值大于该节点的键值,这个特性使得二叉查找树非常适合进行数据的查找和排序操作。

下面是一个简单的手绘图,展示了一个二叉查找树的结构:

在上面这个二叉查找树中,根节点是 8,左子树节点包括 3、1、6、4 和 7,右子树节点包括 10、14 和 13。

  • 3<8<10
  • 1<3<6
  • 4<6<7
  • 10<14
  • 13<14

这是一颗典型的二叉查找树:

  • 1)左子树上所有节点的值均小于或等于它的根结点的值。
  • 2)右子树上所有节点的值均大于或等于它的根结点的值。
  • 3)左、右子树也分别为二叉查找树。

二叉查找树用来查找非常方面,从根节点开始遍历,如果当前节点的键值等于要查找的键值,则查找成功;如果要查找的键值小于当前节点的键值,则继续遍历左子树;如果要查找的键值大于当前节点的键值,则继续遍历右子树。如果遍历到叶子节点仍然没有找到,则查找失败。

插入操作也非常简单,从根节点开始遍历,如果要插入的键值小于当前节点的键值,则将其插入到左子树中;如果要插入的键值大于当前节点的键值,则将其插入到右子树中。如果要插入的键值已经存在于树中,则更新该节点的值。

删除操作稍微复杂一些,需要考虑多种情况,包括要删除的节点是叶子节点、要删除的节点只有一个子节点、要删除的节点有两个子节点等等。

总之,二叉查找树是一种非常常用的数据结构,它可以帮助我们实现数据的查找、排序和删除等操作。

理解二叉查找树了吧?

不过,二叉查找树有一个明显的不足,就是容易变成瘸子,就是一侧多,一侧少,比如说这样:

在上面这个不平衡的二叉查找树中,左子树比右子树高。根节点是 6,左子树节点包括 4、3 和 1,右子树节点包括 8、7 和 9。

由于左子树比右子树高,这个不平衡的二叉查找树可能会导致查找、插入和删除操作的效率下降。

来一个更极端的情况。

在上面这个极度不平衡的二叉查找树中,所有节点都只有一个右子节点,根节点是 1,右子树节点包括 2、3、4、5 和 6。

这种极度不平衡的二叉查找树会导致查找、插入和删除操作的效率急剧下降,因为每次操作都只能在右子树中进行,而左子树几乎没有被利用到。

查找的效率就要从 log(n) 变成 o(n) 了(戳这里了解时间复杂度),对吧?

必须要平衡一下,对吧?于是就有了平衡二叉树,左右两个子树的高度差的绝对值不超过 1,就像下图这样:

根节点是 8,左子树节点包括 4、2、6、5 和 7,右子树节点包括 12、10、14、13 和 15。左子树和右子树的高度差不超过1,因此它是一个平衡二叉查找树。

平衡二叉树就像是一棵树形秤,它的左右两边的重量要尽可能的平衡。当我们往平衡二叉树中插入一个节点时,平衡二叉树会自动调整节点的位置,以保证树的左右两边的高度差不超过1。类似地,当我们删除一个节点时,平衡二叉树也会自动调整节点的位置,以保证树的左右两边的高度差不超过1。

常见的平衡二叉树包括AVL树、红黑树等等,它们都是通过旋转操作来调整树的平衡,使得左子树和右子树的高度尽可能接近。

AVL树的示意图:

AVL树是一种高度平衡的二叉查找树,它要求左子树和右子树的高度差不超过1。由于AVL树的平衡度比较高,因此在进行插入和删除操作时需要进行更多的旋转操作来保持平衡,但是在查找操作时效率较高。AVL树适用于读操作比较多的场景。

例如,对于一个需要频繁进行查找操作的场景,如字典树、哈希表等数据结构,可以使用AVL树来进行优化。另外,AVL树也适用于需要保证数据有序性的场景,如数据库中的索引。

AVL树最初由两位苏联的计算机科学家,Adelson-Velskii和Landis,于1962年提出。因此,AVL树就以他们两人名字的首字母缩写命名了。

AVL树的发明对计算机科学的发展有着重要的影响,不仅为后来的平衡二叉树提供了基础,而且为其他领域的数据结构和算法提供了启示。

红黑树的示意图(R 即 Red「红」、B 即 Black「黑」):

红黑树,顾名思义,就是节点是红色或者黑色的平衡二叉树,它通过颜色的约束来维持二叉树的平衡,它要求任意一条路径上的黑色节点数目相同,同时还需要满足一些其他特定的条件,如红色节点的父节点必须为黑色节点等。

  • 1)每个节点都只能是红色或者黑色
  • 2)根节点是黑色
  • 3)每个叶节点(NIL 节点,空节点)是黑色的。
  • 4)如果一个节点是红色的,则它两个子节点都是黑色的。也就是说在一条路径上不能出现相邻的两个红色节点。
  • 5)从任一节点到其每个叶子的所有路径都包含相同数目的黑色节点。

由于红黑树的平衡度比AVL树稍低,因此在进行插入和删除操作时需要进行的旋转操作较少,但是在查找操作时效率仍然较高。红黑树适用于读写操作比较均衡的场景。

那,关于红黑树,同学们就先了解到这,脑子里有个大概的印象,知道 TreeMap 是个什么玩意。

默认情况下,TreeMap 是根据 key 的自然顺序排列的。比如说整数,就是升序,1、2、3、4、5。

输出结果如下所示:

TreeMap 是怎么做到的呢?想一探究竟,就得上源码了,来看 TreeMap 的 方法:

  • 首先定义一个Entry类型的变量t,用于表示当前的根节点;
  • 如果t为null,说明TreeMap为空,直接创建一个新的节点作为根节点,并将size设置为1;
  • 如果t不为null,说明需要在TreeMap中查找键所对应的节点。因为TreeMap中的元素是有序的,所以可以使用二分查找的方式来查找节点;
  • 如果TreeMap中使用了Comparator来进行排序,则使用Comparator进行比较,否则使用Comparable进行比较。如果查找到了相同的键,则直接更新键所对应的值;
  • 如果没有查找到相同的键,则创建一个新的节点,并将其插入到TreeMap中。然后使用fixAfterInsertion()方法来修正插入节点后的平衡状态;
  • 最后将TreeMap的size加1,然后返回null。如果更新了键所对应的值,则返回原先的值。

注意 这行代码,就是用来进行 key 比较的,由于此时 key 是 String,所以就会调用 String 类的 方法进行比较。

来看下面的示例。

输出结果如下所示:

从结果可以看得出,是按照字母的升序进行排序的。

如果自然顺序不满足,那就可以在声明 TreeMap 对象的时候指定排序规则。

TreeMap 提供了可以指定排序规则的构造方法:

返回的是 Collections.ReverseComparator 对象,就是用来反转顺序的,非常方便。

所以,输出结果如下所示:

HashMap 是无序的,插入的顺序随着元素的增加会不停地变动。但 TreeMap 能够至始至终按照指定的顺序排列,这对于需要自定义排序的场景,实在是太有用了!

既然 TreeMap 的元素是经过排序的,那找出最大的那个,最小的那个,或者找出所有大于或者小于某个值的键来说,就方便多了。

TreeMap 考虑得很周全,恰好就提供了 、 这样获取最后一个 key 和第一个 key 的方法。

获取的是到指定 key 之前的 key; 获取的是指定 key 之后的 key(包括指定 key)。

来看一下输出结果:

再来看一下例子:

headMap、tailMap、subMap方法分别获取了小于3、大于等于4、大于等于2且小于4的键值对。

在学习 TreeMap 之前,我们已经学习了 HashMap 和 LinkedHashMap ,那如何从它们三个中间选择呢?

需要考虑以下因素:

  • 是否需要按照键的自然顺序或者自定义顺序进行排序。如果需要按照键排序,则可以使用 TreeMap;如果不需要排序,则可以使用 HashMap 或 LinkedHashMap。
  • 是否需要保持插入顺序。如果需要保持插入顺序,则可以使用 LinkedHashMap;如果不需要保持插入顺序,则可以使用 TreeMap 或 HashMap。
  • 是否需要高效的查找。如果需要高效的查找,则可以使用 LinkedHashMap 或 HashMap,因为它们的查找操作的时间复杂度为 O(1),而是 TreeMap 是 O(log n)。

LinkedHashMap 内部使用哈希表来存储键值对,并使用一个双向链表来维护插入顺序,但查找操作只需要在哈希表中进行,与链表无关,所以时间复杂度为 O(1)

来个表格吧,一目了然。

特性TreeMapHashMapLinkedHashMap排序支持不支持不支持插入顺序不保证不保证保证查找效率O(log n)O(1)O(1)空间占用通常较大通常较小通常较大适用场景需要排序的场景无需排序的场景需要保持插入顺序

好了,下课,关于 TreeMap 我们就讲到这里吧,希望同学们都能对 TreeMap 有一个清晰的认识。我们下节课见~


GitHub 上标星 10000+ 的开源知识库《二哥的 Java 进阶之路》第一版 PDF 终于来了!包括Java基础语法、数组&字符串、OOP、集合框架、Java IO、异常处理、Java 新特性、网络编程、NIO、并发编程、JVM等等,共计 32 万余字,500+张手绘图,可以说是通俗易懂、风趣幽默……详情戳:太赞了,GitHub 上标星 10000+ 的 Java 教程

微信搜 沉默王二 或扫描下方二维码关注二哥的原创公众号沉默王二,回复 222 即可免费领取。

好,我们这节继续有请王老师上台来给大家讲 ArrayDeque,鼓掌欢迎了👏🏻。

Java 里有一个叫做Stack的类,却没有叫做Queue的类(它只是个接口名字,和类还不一样)。

当需要使用栈时,Java 已不推荐使用Stack,而是推荐使用更高效的ArrayDeque(双端队列),原因我们第一次讲集合框架的时候,其实已经聊过了,Stack 是一个“原始”类,它的核心方法上都加了 关键字以确保线程安全,当我们不需要线程安全(比如说单线程环境下)性能就会比较差。

也就是说,当需要使用栈时候,请首选ArrayDeque

在上面的示例中,我们先创建了一个 ArrayDeque 对象,然后使用 push 方法向栈中添加了三个元素。接着使用 peek 方法获取栈顶元素,使用 pop 方法弹出栈顶元素,使用 pop 和 push 方法修改栈顶元素,使用迭代器查找元素在栈中的位置。

ArrayDeque 又实现了 Deque 接口(Deque 又实现了 Queue 接口):

因此,当我们需要使用队列的时候,也可以选择 ArrayDeque。

在上面的示例中,我们先创建了一个 ArrayDeque 对象,然后使用 offer 方法向队列中添加了三个元素。接着使用 peek 方法获取队首元素,使用 poll 方法弹出队首元素,使用 poll 和 offer 方法修改队列中的元素,使用迭代器查找元素在队列中的位置。

我们前面讲了,LinkedList不只是个 List,还是一个 Queue,它也实现了 Deque 接口。

所以,当我们需要使用队列时,还可以选择LinkedList。

在使用 LinkedList 作为队列时,可以使用 offer() 方法将元素添加到队列的末尾,使用 poll() 方法从队列的头部删除元素,使用迭代器或者 poll() 方法依次遍历元素。

要讲栈和队列,首先要讲Deque接口。Deque的含义是“double ended queue”,即双端队列,它既可以当作栈使用,也可以当作队列使用。下表列出了DequeQueue相对应的接口:

Queue MethodEquivalent Deque Method说明add(e)addLast(e)向队尾插入元素,失败则抛出异常offer(e)offerLast(e)向队尾插入元素,失败则返回remove()removeFirst()获取并删除队首元素,失败则抛出异常poll()pollFirst()获取并删除队首元素,失败则返回element()getFirst()获取但不删除队首元素,失败则抛出异常peek()peekFirst()获取但不删除队首元素,失败则返回

下表列出了DequeStack对应的接口:

Stack MethodEquivalent Deque Method说明push(e)addFirst(e)向栈顶插入元素,失败则抛出异常无offerFirst(e)向栈顶插入元素,失败则返回pop()removeFirst()获取并删除栈顶元素,失败则抛出异常无pollFirst()获取并删除栈顶元素,失败则返回peek()getFirst()获取但不删除栈顶元素,失败则抛出异常无peekFirst()获取但不删除栈顶元素,失败则返回

上面两个表共定义了Deque的 12 个接口。

添加,删除,取值都有两套接口,它们功能相同,区别是对失败情况的处理不同。

一套接口遇到失败就会抛出异常,另一套遇到失败会返回特殊值(或)。除非某种实现对容量有限制,大多数情况下,添加操作是不会失败的。

虽然Deque的接口有 12 个之多,但无非就是对容器的两端进行操作,或添加,或删除,或查看。明白了这一点讲解起来就会非常简单。

ArrayDequeLinkedListDeque的两个通用实现,由于官方更推荐使用ArrayDeque用作栈和队列,加之上一篇已经讲解过LinkedList,本文将着重讲解ArrayDeque的具体实现。

从名字可以看出ArrayDeque底层通过数组实现,为了满足可以同时在数组两端插入或删除元素的需求,该数组还必须是循环的,即循环数组(circular array),也就是说数组的任何一点都可能被看作起点或者终点。

ArrayDeque是非线程安全的(not thread-safe),当多个线程同时使用的时候,需要手动同步;另外,该容器不允许放入元素。

上图中我们看到,指向首端第一个有效元素,指向尾端第一个可以插入元素的空位。因为是循环数组,所以不一定总等于 0,也不一定总是比大。

的作用是在Deque的首端插入元素,也就是在的前面插入元素,在空间足够且下标没有越界的情况下,只需要将即可。

实际需要考虑:

  1. 空间是否够用,以及
  2. 下标是否越界的问题。

上图中,如果为之后接着调用,虽然空余空间还够用,但为,下标越界了。下列代码很好的解决了这两个问题。

上述代码我们看到,空间问题是在插入之后解决的,因为总是指向下一个可插入的空位,也就意味着数组至少有一个空位,所以插入元素的时候不用考虑空间问题。

下标越界的处理解决起来非常简单,就可以了,这段代码相当于取余,同时解决了为负值的情况。因为必需是的指数倍,就是二进制低位全,跟相与之后就起到了取模的作用,如果为负数(其实只可能是-1),则相当于对其取相对于的补码。

下面再说说扩容函数,其逻辑是申请一个更大的数组(原数组的两倍),然后将原数组复制过去。过程如下图所示:

图中我们看到,复制分两次进行,第一次复制右边的元素,第二次复制左边的元素。

该方法的实现中,首先检查 head 和 tail 是否相等,如果不相等则抛出异常。然后计算出 head 右边的元素个数 r,以及新的容量 newCapacity,如果 newCapacity 太大则抛出异常。

接下来创建一个新的 Object 数组 a,将原有 ArrayDeque 中 head 右边的元素复制到 a 的前面(即图中绿色部分),将 head 左边的元素复制到 a 的后面(即图中灰色部分)。最后将 elements 数组替换为 a,head 设置为 0,tail 设置为 n(即新容量的长度)。

需要注意的是,由于 elements 数组被替换为 a 数组,因此在方法调用结束后,原有的 elements 数组将不再被引用,会被垃圾回收器回收。

的作用是在Deque的尾端插入元素,也就是在的位置插入元素,由于总是指向下一个可以插入的空位,因此只需要即可。插入完成后再检查空间,如果空间已经用光,则调用进行扩容。

下标越界处理方式中已经讲过,不再赘述。

的作用是删除并返回Deque首端元素,也即是位置处的元素。如果容器不空,只需要直接返回即可,当然还需要处理下标的问题。由于中不允许放入,当时,意味着容器为空。

的作用是删除并返回Deque尾端元素,也即是位置前面的那个元素。

的作用是返回但不删除Deque首端元素,也即是位置处的元素,直接返回即可。

的作用是返回但不删除Deque尾端元素,也即是位置前面的那个元素。

当需要实现先进先出(FIFO)或者先进后出(LIFO)的数据结构时,可以考虑使用 ArrayDeque。以下是一些使用 ArrayDeque 的场景:

  • 管理任务队列:如果需要实现一个任务队列,可以使用 ArrayDeque 来存储任务元素。在队列头部添加新任务元素,从队列尾部取出任务进行处理,可以保证任务按照先进先出的顺序执行。
  • 实现栈:ArrayDeque 可以作为栈的实现方式,支持 push、pop、peek 等操作,可以用于需要后进先出的场景。
  • 实现缓存:在需要缓存一定数量的数据时,可以使用 ArrayDeque。当缓存的数据量超过容量时,可以从队列头部删除最老的数据,从队列尾部添加新的数据。
  • 实现事件处理器:ArrayDeque 可以作为事件处理器的实现方式,支持从队列头部获取事件进行处理,从队列尾部添加新的事件。

简单总结一下吧。

ArrayDeque 是 Java 标准库中的一种双端队列实现,底层基于数组实现。与 LinkedList 相比,ArrayDeque 的性能更优,因为它使用连续的内存空间存储元素,可以更好地利用 CPU 缓存,在大多数情况下也更快。

为什么这么说呢?

因为ArrayDeque 的底层实现是数组,而 LinkedList 的底层实现是链表。数组是一段连续的内存空间,而链表是由多个节点组成的,每个节点存储数据和指向下一个节点的指针。因此,在使用 LinkedList 时,需要频繁进行内存分配和释放,而 ArrayDeque 在创建时就一次性分配了连续的内存空间,不需要频繁进行内存分配和释放,这样可以更好地利用 CPU 缓存,提高访问效率。

现代计算机CPU对于数据的局部性有很强的依赖,如果需要访问的数据在内存中是连续存储的,那么就可以利用CPU的缓存机制,提高访问效率。而当数据存储在不同的内存块里时,每次访问都需要从内存中读取,效率会受到影响。

当然了,使用 ArrayDeque 时,数组复制操作也是需要考虑的性能消耗之一。

当 ArrayDeque 的元素数量超过了初始容量时,会触发扩容操作。扩容操作会创建一个新的数组,并将原有元素复制到新数组中。扩容操作的时间复杂度为 O(n)。

不过,ArrayDeque 的扩容策略(当 ArrayDeque 中的元素数量达到数组容量时,就需要进行扩容操作,扩容时会将数组容量扩大为原来的两倍)可以在一定程度上减少数组复制的次数和时间消耗,同时保证 ArrayDeque 的性能和空间利用率。

ArrayDeque 不仅支持常见的队列操作,如添加元素、删除元素、获取队列头部元素、获取队列尾部元素等。同时,它还支持栈操作,如 push、pop、peek 等。这使得 ArrayDeque 成为一种非常灵活的数据结构,可以用于各种场景的数据存储和处理。

参考链接:https://github.com/CarpenterLee/JCFInternals,作者:李豪,整理:沉默王二


GitHub 上标星 10000+ 的开源知识库《二哥的 Java 进阶之路》第一版 PDF 终于来了!包括Java基础语法、数组&字符串、OOP、集合框架、Java IO、异常处理、Java 新特性、网络编程、NIO、并发编程、JVM等等,共计 32 万余字,500+张手绘图,可以说是通俗易懂、风趣幽默……详情戳:太赞了,GitHub 上标星 10000+ 的 Java 教程

微信搜 沉默王二 或扫描下方二维码关注二哥的原创公众号沉默王二,回复 222 即可免费领取。

继续有请王老师,来上台给大家讲讲优先级队列 PriorityQueue。

PriorityQueue 是 Java 中的一个基于优先级堆的优先队列实现,它能够在 O(log n) 的时间复杂度内实现元素的插入和删除操作,并且能够自动维护队列中元素的优先级顺序。

通俗来说,PriorityQueue 就是一个队列,但是它不是先进先出的,而是按照元素优先级进行排序的。当你往 PriorityQueue 中插入一个元素时,它会自动根据元素的优先级将其插入到合适的位置。当你从 PriorityQueue 中删除一个元素时,它会自动将优先级最高的元素出队。

下面👇🏻是一个简单的PriorityQueue示例:

在上述代码中,我们首先创建了一个 PriorityQueue 对象,并向其中添加了三个元素。然后,我们使用 while 循环遍历 PriorityQueue 中的元素,并打印出来。来看输出结果:

再来看一下示例。

在上述代码中,我们使用了 Comparator.reverseOrder() 方法指定了 PriorityQueue 的优先级顺序为降序。也就是说,PriorityQueue 中的元素会按照从大到小的顺序排序。

其他部分的代码与之前的例子相同,我们再来看一下输出结果:

对比一下两个例子的输出结果,不难发现,顺序正好相反。

PriorityQueue 的主要作用是维护一组数据的排序,使得取出数据时可以按照一定的优先级顺序进行,当我们调用 poll() 方法时,它会从队列的顶部弹出最高优先级的元素。它在很多场景下都有广泛的应用,例如任务调度、事件处理等场景,以及一些算法中需要对数据进行排序的场景。

在实际应用中,PriorityQueue 也经常用于实现 Dijkstra 算法、Prim 算法、Huffman 编码等算法。这里简单说一下这几种算法的作用,理解不了也没关系哈。

Dijkstra算法是一种用于计算带权图中的最短路径的算法。该算法采用贪心的策略,在遍历图的过程中,每次选取当前到源点距离最短的一个顶点,并以它为中心进行扩展,更新其他顶点的距离值。经过多次扩展,可以得到源点到其它所有顶点的最短路径。

Prim算法是一种用于求解最小生成树的算法,可以在加权连通图中找到一棵生成树,使得这棵生成树的所有边的权值之和最小。该算法从任意一个顶点开始,逐渐扩展生成树的规模,每次选择一个距离已生成树最近的顶点加入到生成树中。

Huffman编码是一种基于霍夫曼树的压缩算法,用于将一个字符串转换为二进制编码以进行压缩。该算法的主要思想是通过建立霍夫曼树,将出现频率较高的字符用较短的编码表示,而出现频率较低的字符用较长的编码表示,从而实现对字符串的压缩。在解压缩时,根据编码逐步解析出原字符串。

由于 PriorityQueue 的底层是基于堆实现的,因此在数据量比较大时,使用 PriorityQueue 可以获得较好的时间复杂度。

这里牵涉到了大小关系,元素大小的评判可以通过元素本身的自然顺序(natural ordering),也可以通过构造时传入的比较器Comparator,或者元素自身实现 Comparable 接口)来决定。

在 PriorityQueue 中,每个元素都有一个优先级,这个优先级决定了元素在队列中的位置。队列内部通过小顶堆(也可以是大顶堆)的方式来维护元素的优先级关系。具体来说,小顶堆是一个完全二叉树,任何一个非叶子节点的权值,都不大于其左右子节点的权值,这样保证了队列的顶部元素(堆顶)一定是优先级最高的元素。

完全二叉树(Complete Binary Tree)是一种二叉树,其中除了最后一层,其他层的节点数都是满的,最后一层的节点都靠左对齐。下面是一个完全二叉树的示意图:

堆是一种完全二叉树,堆的特点是根节点的值最小(小顶堆)或最大(大顶堆),并且任意非根节点i的值都不大于(或不小于)其父节点的值。

这是一颗包含整数 1, 2, 3, 4, 5, 6, 7 的小顶堆:

这是一颗大顶堆。

因为完全二叉树的结构比较规则,所以可以使用数组来存储堆的元素,而不需要使用指针等额外的空间。

在堆中,每个节点的下标和其在数组中的下标是一一对应的,假设节点下标为i,则其父节点下标为i/2,其左子节点下标为2i,其右子节点下标为2i+1。

假设有一个数组arr=[10, 20, 15, 30, 40],现在要将其转化为一个小顶堆。

首先,我们将数组按照完全二叉树的形式排列,如下图所示:

从上往下、从左往右依次给每个节点编号,如下所示:

接下来,我们按照上述公式,依次确定每个节点在数组中的位置。例如,节点1的父节点下标为1/2=0,左子节点下标为2*1=2,右子节点下标为2*1+1=3,因此节点1在数组中的位置为0,节点2在数组中的位置为2,节点3在数组中的位置为3。

对应的数组为[10, 20, 15, 30, 40],符合小顶堆的定义,即每个节点的值都小于或等于其子节点的值。

好,我们画幅图再来理解一下。

上图中我们给每个元素按照层序遍历的方式进行了编号,如果你足够细心,会发现父节点和子节点的编号是有联系的,更确切的说父子节点的编号之间有如下关系:

通过上述三个公式,可以轻易计算出某个节点的父节点以及子节点的下标。这也就是为什么可以直接用数组来存储堆的原因。

和的语义相同,都是向优先队列中插入元素,只是接口规定二者对插入失败时的处理不同,前者在插入失败时抛出异常,后则则会返回。对于PriorityQueue这两个方法其实没什么差别。

新加入的元素可能会破坏小顶堆的性质,因此需要进行必要的调整。

上述代码中,扩容函数类似于里的函数,就是再申请一个更大的数组,并将原数组的元素复制过去,这里不再赘述。需要注意的是方法,该方法用于插入元素并维持堆的特性。

调整的过程为:从指定的位置开始,将逐层与当前点的进行比较并交换,直到满足为止。注意这里的比较可以是元素的自然顺序,也可以是依靠比较器的顺序。

和的语义完全相同,都是获取但不删除队首元素,也就是队列中权值最小的那个元素,二者唯一的区别是当方法失败时前者抛出异常,后者返回。根据小顶堆的性质,堆顶那个元素就是全局最小的那个;由于堆用数组表示,根据下标关系,下标处的那个元素既是堆顶元素。所以直接返回数组下标处的那个元素即可

代码也就非常简洁:

和方法的语义也完全相同,都是获取并删除队首元素,区别是当方法失败时前者抛出异常,后者返回。由于删除操作会改变队列的结构,为维护小顶堆的性质,需要进行必要的调整。

PriorityQueue_poll.png
PriorityQueue_poll.png

代码如下:

上述代码首先记录下标处的元素,并用最后一个元素替换下标位置的元素,之后调用方法对堆进行调整,最后返回原来下标处的那个元素(也就是最小的那个元素)。重点是方法,该方法的作用是从指定的位置开始,将逐层向下与当前点的左右孩子中较小的那个交换,直到小于或等于左右孩子中的任何一个为止

方法用于删除队列中跟相等的某一个元素(如果有多个相等,只删除一个),该方法不是Queue接口内的方法,而是Collection接口的方法。由于删除操作会改变队列结构,所以要进行调整;又由于删除元素的位置可能是任意的,所以调整过程比其它方法稍加繁琐。

具体来说,可以分为 2 种情况:

  1. 删除的是最后一个元素。直接删除即可,不需要调整。
  2. 删除的不是最后一个元素,从删除点开始以最后一个元素为参照调用一次即可。此处不再赘述。

具体代码如下:

PriorityQueue 是一个非常常用的数据结构,它是一种特殊的堆(Heap)实现,可以用来高效地维护一个有序的集合。

  • 它的底层实现是一个数组,通过堆的性质来维护元素的顺序。
  • 取出元素时按照优先级顺序(从小到大或者从大到小)进行取出。
  • 如果需要指定排序,元素必须实现 Comparable 接口或者传入一个 Comparator 来进行比较。

可以通过 LeetCode 的第 23 题:合并K个升序链表 来练习 PriorityQueue 的使用。

我把题解已经放到了技术派中,大家可以去作为参考。

合并K个升序链表

参考链接:https://github.com/CarpenterLee/JCFInternals,作者:李豪,整理:沉默王二


GitHub 上标星 10000+ 的开源知识库《二哥的 Java 进阶之路》第一版 PDF 终于来了!包括Java基础语法、数组&字符串、OOP、集合框架、Java IO、异常处理、Java 新特性、网络编程、NIO、并发编程、JVM等等,共计 32 万余字,500+张手绘图,可以说是通俗易懂、风趣幽默……详情戳:太赞了,GitHub 上标星 10000+ 的 Java 教程

微信搜 沉默王二 或扫描下方二维码关注二哥的原创公众号沉默王二,回复 222 即可免费领取。

“二哥,为什么要讲时间复杂度呀?”三妹问。

“因为接下来要用到啊。后面我们学习 ArrayList、LinkedList 的时候,会比较两者在增删改查时的执行效率,而时间复杂度是衡量执行效率的一个重要标准。”我说。

“到时候跑一下代码,统计一下前后的时间差不更准确吗?”三妹反问道。

“实际上,你说的是另外一种评估方法,这种评估方法可以得出非常准确的数值,但也有很大的局限性。”我不急不慢地说。

第一,测试结果会受到测试环境的影响。你比如说,同样的代码,在我这台 iMac 上跑出来的时间和在你那台华为的 MacBook 上跑出的时间可能就差别很大。

第二,测试结果会受到测试数据的影响。你比如说,一个排序后的数组和一个没有排序后的数组,调用了同一个查询方法,得出来的结果可能会差别特别大。

“因此,我们需要这种不依赖于具体测试环境和测试数据就能粗略地估算出执行效率的方法,时间复杂度就是其中的一种,还有一种是空间复杂度。”我继续补充道,“如果你后面刷 LeetCode的话,对时间复杂度这个概念也会比较依赖。”

来看下面这段代码:

这段代码非常简单,方法体里总共 5 行代码,包括“}”那一行。每段代码的执行时间可能都不大一样,但假设我们认为每行代码的执行时间是一样的,比如说 unit_time,那么这段代码总的执行时间为多少呢?

“这个我知道呀!”三妹喊道,“第 1、5 行需要 2 个 unit_time,第 2、3 行需要 2nunit_time,总的时间就是 2(n+1)*unit_time。”

“对,一段代码的执行时间 T(n) 和总的执行次数成正比,也就是说,代码执行的次数越多,花费的时间就越多。”我总结道,“这个规律可以用一个公式来表达:”

T(n) = O(f(n))

f(n) 表示代码总的执行次数,大写 O 表示代码的执行时间 T(n) 和 f(n) 成正比。

这也就是大 O 表示法,它不关心代码具体的执行时间是多少,它关心的是代码执行时间的变化趋势,这也就是时间复杂度这个概念的由来。

对于上面那段代码 来说,影响时间复杂度的主要是第 2 行代码,其余的,像系数 2、常数 2 都是可以忽略不计的,我们只关心影响最大的那个,所以时间复杂度就表示为 。

常见的时间复杂度有这么 3 个:

代码的执行时间,和数据规模 n 没有多大关系。

括号中的 1 可以是 3,可以是 5,可以 100,我们习惯用 1 来表示,表示这段代码的执行时间是一个常数级别。比如说下面这段代码:

实际上执行了 3 次,但我们也认为这段代码的时间复杂度为 。

再举一个简单的例子。当我们访问数组中的一个元素时,它的时间复杂度就是常数时间复杂度 O(1)。

时间复杂度和数据规模 n 是线性关系。换句话说,数据规模增大 K 倍,代码执行的时间就大致增加 K 倍。

当我们遍历一个数组时,它的时间复杂度就是线性时间复杂度 O(n)。

时间复杂度和数据规模 n 是对数关系。换句话说,数据规模大幅增加时,代码执行的时间只有少量增加。

来看一下代码示例,

换句话说,当数据量 n 从 2 增加到 2^64 时,代码执行的时间只增加了 64 倍。

再举个例子。当我们对一个已排序的数组进行二分查找时,它的时间复杂度就是对数时间复杂度 O(log n)。

当我们对一个数组进行嵌套循环时,它的时间复杂度就是平方时间复杂度 O(n^2)。

当我们递归求解一个问题时,每一次递归都会分成两个子问题,这种情况下,它的时间复杂度就是指数时间复杂度 O(2^n)。

上面的代码是递归求解斐波那契数列的方法,它的时间复杂度是指数级别的。

“好了,三妹,这节就讲到这吧,理解了上面 5 个时间复杂度,后面我们学习 ArrayList、LinkedList 的时候,两者在增删改查时的执行效率就很容易对比清楚了。”我伸了个懒腰后对三妹说。

“好的,二哥。”三妹重新回答沙发上,一盘王者荣耀即将开始。


GitHub 上标星 10000+ 的开源知识库《二哥的 Java 进阶之路》第一版 PDF 终于来了!包括Java基础语法、数组&字符串、OOP、集合框架、Java IO、异常处理、Java 新特性、网络编程、NIO、并发编程、JVM等等,共计 32 万余字,500+张手绘图,可以说是通俗易懂、风趣幽默……详情戳:太赞了,GitHub 上标星 10000+ 的 Java 教程

微信搜 沉默王二 或扫描下方二维码关注二哥的原创公众号沉默王二,回复 222 即可免费领取。

版权声明


相关文章:

  • tinyxml2创建xml文件2024-11-06 07:01:00
  • python基于c语言的编译器诞生于哪一年?2024-11-06 07:01:00
  • linux rename命令怎么用2024-11-06 07:01:00
  • c++ 拷贝构造函数2024-11-06 07:01:00
  • ds1302实时时钟模块2024-11-06 07:01:00
  • hashmap和hashtable有什么区别?2024-11-06 07:01:00
  • 机器码生成注册码工具2024-11-06 07:01:00
  • 代码对比工具下载2024-11-06 07:01:00
  • fork函数实现原理2024-11-06 07:01:00
  • sql server中触发器的作用是什么?2024-11-06 07:01:00