本文来自《老饼讲解-BP神经网络》https://www.bbbdata.com/
BP神经网络的模型结构为:

RBF神经网络的模型结构为:

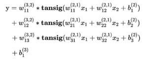
BP神经网络的模型表达式为:

RBF神经网络的模型表达式为:

BP神经网络是以多个tansig函数之和,而RBF神经网络则是多个RBF函数之和。
tansig函数是一个S型函数,图象如下:

RBF函数是一个钟型函数,图象如下:

从思想上来看,BP是用多个S型曲线凑合出目标曲线,而RBF神经网络则是用多个钟型函数凑合出目标曲线,

所以两者在思想上几乎是相同的,极为相似,只是所使用的函数不同而已。
比较有趣的是,进一步分析会发现两个tansig函数实际上还能凑出一个RBF函数,所以RBF能拟合的曲线形态,BP一定也是能拟合的。
BP神经网络一般都用梯度下降法,或者其它优化算法进行优化,BP神经网络是将所以参数进行同时进行优化的。BP神经网络一般需要先计算梯度,再用梯度来逐步调整参数使得网络的误差下降。因此BP神经网络的训练相对会更耗时一些,也更不确定一些。
一般模型之间没有更好或更差一说,对于不同的数据,模型的适用程度不同,因此更多可以先通过理论分析来判断哪个模型更适用,但这需要对理论有更深入的掌握与理解,更简单的方法是直接通过模型实际建模效果来进行对比。
相关链接:
《老饼讲解-机器学习》:老饼讲解-机器学习教程-通俗易懂
《老饼讲解-神经网络》:老饼讲解-matlab神经网络-通俗易懂
《老饼讲解-神经网络》:老饼讲解-深度学习-通俗易懂
版权声明:
本文来源网络,所有图片文章版权属于原作者,如有侵权,联系删除。
本文网址:https://www.mushiming.com/mjsbk/6938.html