在连通图的基础上,本篇文章将介绍什么是生成树,以及什么是生成森林
先介绍生成树!!!
对连通图进行遍历,过程中所经过的边和顶点的组合可看做是一棵普通树,通常称为生成树

图 1 连通图及其对应的生成树
图 1 中,左侧是一张连通图,右侧是其对应的 2 种生成树
但是介绍到这里我想疑问还是很多的,比如说遍历的方法是什么!生成树的定义是什么!
遍历的方法:连通图中,通过任意两顶点之间可能含有多条通路进行遍历
图 1 中,右侧第一张生成树的遍历过程为 或
右侧第二张生成树的遍历过程为 或
生成树的定义:包含连通图中所有的顶点,且任意两顶点之间有且仅有一条通路
根据其定义,可以知道连通图的生成树具有这样的特征,即生成树中:边的数量 = 顶点数 - 1
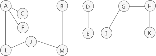
如果说生成树是对应连通图来说的,那么生成森林就是对应非连通图来说的

图 2 非连通图和连通分量
上一篇文章提到过,非连通图可分解为多个连通分量,而每个连通分量又各自对应多个生成树,因此与整个非连通图相对应的,是由多棵生成树组成的生成森林
图 2 是一张非连通图,它可分解为 3 个连通分量,其中各个连通分量对应的生成树如下图 3 所示:

图 3 生成森林
注意!!!图 3 中列出的仅是各个连通分量的其中一种生成树
因此,多个连通分量对应的多棵生成树就构成了整个非连通图的生成森林
版权声明:
本文来源网络,所有图片文章版权属于原作者,如有侵权,联系删除。
本文网址:https://www.mushiming.com/mjsbk/5481.html