二叉排序树(简称BST) 又称二叉查找(搜索)树,其定义为:二叉排序树或者是空树,或者是满足如下性质(BST性质)的二叉树:
①: 若它的左子树非空,则左子树上所有结点值(指关键字值)均小于根结点值;
②: 若它的右子树非空,则右子树上所有结点值均大于根结点值;
③: 左、右子树本身又各是一棵二叉排序树。
注意:二叉排序树中没有相同关键字的结点。
二叉排序树的中序遍历序列有什么特点?
答:中序遍历二叉排序树会得到一个升序的序列。
二叉排序树的结点类型如下:
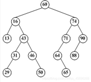
看一个已经排好序的二叉排序树:
(每一个结点的左子树中所有的结点都比该结点小)
(每一个结点的右子树中所有的结点都比该结点大)

二叉排序树上的查找:

二叉排序树的插入和生成(动态查找):
前面讲的顺序表的查找都是静态查找。
注意:在二叉排序树中插入一个关键字为k的新结点,要保证插入后仍满足BST性质。
插入过程:
(1)若二叉排序树T为空,则创建一个key域为k的结点,将它作为根结点;
(2)否则将k和根结点的关键字比较,若两者相等,则说明树中已有此关键字k,无须插入,直接返回0;
(3)若k< T->key,则将k插入根结点的左子树中。
(4)否则将它插入右子树中。
举个栗子:

由面的序列画出其二叉排序树:

过程解析:
将第一个数25作为根结点
然后从左往右一个一个数比较
比25小的放在左子树,比25大的放在右子树
然后每经过一个结点都要和该结点进行比较
比该结点小就放左子树,比该结点大就放右子树


特点:
根结点的最左下结点是关键字最小的结点
根结点的最右下结点是关键字最大的结点
(就比如上图中的最左下的是2最右下的是74)
二叉排序树的结点删除:
(1)被删除的结点是叶子结点:直接删去该结点
(2)被删除的结点只有左子树或者只有右子树,用其左子树或者右子树替换它(结点替换)。
(3)被删除的结点既有左子树,也有右子树 。 以其中序前驱值替换之(值替换) ,然后再删除该前驱结点。前驱是左子树中最大的结点。 也可以用其后继替换之,然后再删除该后继结点。后继是右子树中最小的结点。
过程分析图示:
平衡二叉排序树:
查找效率分析:
BST是一种查找效率比较高的组织形式,但其平均查找长度受树的形态影响较大,形态比较均匀时查找效率很好,形态明显偏向某一方向时其效率就大大降低。因此,希望有更好的二叉排序树,其形态总是均衡的,查找时能得到最好的效率,这就是平衡二叉排序树。

最后看两个例题:
例题1:


例题2:


版权声明:
本文来源网络,所有图片文章版权属于原作者,如有侵权,联系删除。
本文网址:https://www.mushiming.com/mjsbk/4163.html