@
树状数组(Binary Indexed Tree(B.I.T), Fenwick Tree)是一个查询和修改复杂度都为log(n)的数据结构。主要用于查询任意两位之间的所有元素之和,但是每次只能修改一个元素的值;经过简单修改可以在log(n)的复杂度下进行范围修改,但是这时只能查询其中一个元素的值(如果加入多个辅助数组则可以实现区间修改与区间查询)。
树状数组,重点在于它是树状的 (这不废话吗)
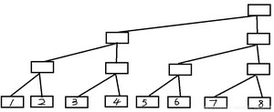
大家都知道二叉树吧,贴一张二叉树的图给大家理解一下(自己画的有点丑)

我们把它变形一下...

现在定义每一列的顶端结点C[]数组

ps.最后一个图不是我画的
C[i]代表子树的叶子结点的权值之和, 这里以求和举例
如图可以知道
C[1]=A[1];
C[2]=A[1]+A[2];
C[3]=A[3];
C[4]=A[1]+A[2]+A[3]+A[4];
C[5]=A[5];
C[6]=A[5]+A[6];
C[7]=A[7];
将C[]数组的结点序号转化为二进制
1=(001) C[1]=A[1];
2=(010) C[2]=A[1]+A[2];
3=(011) C[3]=A[3];
4=(100) C[4]=A[1]+A[2]+A[3]+A[4];
5=(101) C[5]=A[5];
6=(110) C[6]=A[5]+A[6];
7=(111) C[7]=A[7];
8=(1000) C[8]=A[1]+A[2]+A[3]+A[4]+A[5]+A[6]+A[7]+A[8];
对照式子可以发现 C[i]=A[i-2^ k+1]+A[i-2^k+2]+......A[i];
(k为i的二进制中从最低位到高位连续零的长度)例如i=8时,k=3;可以自行带入验证;
现在引入lowbit(x)
lowbit(x) 其实就是取出x的最低位1 换言之 lowbit(x)=2^k k的含义与上面相同 理解一下
前两个普通数组能够O(1)时间复杂度完成,后两个普通数组需要O(n)时间复杂度完成,而树状数组最大只需要O(logn),这也正是树状数组的快捷之处。
代码实现
0.lowbit操作
版权声明:
本文来源网络,所有图片文章版权属于原作者,如有侵权,联系删除。
本文网址:https://www.mushiming.com/mjsbk/3894.html