字典树的概述:又称单词查找树,Trie树,是一种树形结构,是一种哈希树的变种。典型应用是用于统计,排序和保存大量的字符串(但不仅限于字符串),所以经常被搜索引擎系统用于文本词频统计。它的优点是:利用字符串的公共前缀来减少查询时间,最大限度地减少无谓的字符串比较,查询效率比哈希树高。
1、字典树的构建过程
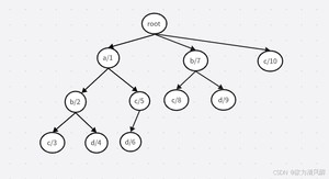
所谓字典树,就是将单词的每一个字符作为一个节点,每个节点都有一个特殊的编号,根节点不记录信息。假设我们有一个词库,里面有如下单词:【a, ab, abc, abd, ac, acd, bc, bd, c】,那么如何构建一个字典树呢?
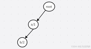
首先有一个空节点root(根节点):

插入第一个单词“a”的过程(a旁边的是节点编号)每个节点都有可能再衍生出26个节点(26个小写字母):

插入单词ab的过程:

由于已经有了一个a,那我们就不需要再重新创建一个a节点,只需要在a节点后衍生b节点即可。具体实现方法是有一个二维数组ch[][], 其中ch[i][j]标识从节点i衍生出的映射值为j的字符。首先从根节点开始,根节点的编号为0,指针p指向根节点,那么ch[p]['a' - 'a']的值为1,代表从根节点出发衍生出的a节点的编号为1,由于ch[p][0]已经等于1,即a节点已经存在,那么我们将ch[p][0]赋值给指针p,那么p即为a节点的编号,由于ch[1][2]的值为0,说明a节点还未衍生出b节点,所以,我们新加入b节点,将ch[p][2]赋值为1即可。最后将p = ch[1][2],将p指向刚刚建立的b节点,b结点为ab的结尾,那么我们cnt[2]++代表ab这个单词出现了一次。
其他单词的插入类似,在此不做过多赘述。
最后插入完成的图如下:

2、字典树的查找过程
在构建的过程中,每到一个字符串的末尾,我们用cnt[p]++,来记录该单词的频率。因此在查找的过程中,我们首先将指针p置位0,代表从根节点开始查找,然后遍历要查找单词的每个字母,将该字母按同样的方式映射到实数num,利用这个实数num判断ch[p][num]是否为1,如果为1,则说明该字母的节点存在,p指针指向该节点(p = ch[p][num]),继续遍历下一个字符,如果中间过程出现ch[p][num] = 0,直接返回0,代表不存在该单词,否则返回cnt[p](此时p已经指向查找单词的最后一个字母所在的节点)
3、完整代码如下
版权声明:
本文来源网络,所有图片文章版权属于原作者,如有侵权,联系删除。
本文网址:https://www.mushiming.com/mjsbk/15838.html