一,概述
在自然语言生成的任务中,大部分是基于seq2seq模型实现的(除此之外,还有语言模型,GAN等也能做文本生成),例如生成式对话,机器翻译,文本摘要等等,seq2seq模型是由encoder,decoder两部分组成的,其标准结构如下:

原则上encoder,decoder可以由CNN,RNN,Transformer三种结构中的任意一种组合。但实际的应用过程中,encoder,decnoder的结构选择基本是一样的(即encoder选择CNN,decoder也选择CNN,如facebook的conv2conv)。因此本文我们也就介绍encoder,decoder是同种结构的三种模型,并对比其内部结构在编码和解码的不同之处。
二,模型介绍
1)基于RNN的seq2seq模型
在这里的encoder和decoder都采用RNN系列模型,一般是GRU,LSTM等。一般有两种用法:即单向encoder-单向decoder;双向encoder-单向decoder(在这里要保证encoder的hidden_size等于decoder的hidden_size,但是对于双向encoder时,因为一般采用拼接来融合双向信息,因此此时encoder的hidden_size一般为decoder的hidden_size的一半)。
基于RNN的encoder端和用RNN做分类问题基本一致,但在decoder端需要融入encoder端的信息,因此是有一些不一样的,以GRU为例(LSTM同理):
encoder端:
$r_t = sigma(W_r [h_{t-1}, x_t])$
$z_t = sigma(W_z [h_{t-1}, x_t])$
$hat{h_t} = tanh(W_{hat{h}} [r_t * h_{t-1}, x_t])$
$h_t = (1 - z_t) * h_{t-1} + z_t * hat{h_t}$
decoder端:需要融入attention后的encoder的编码向量$c_t$
$r_t = sigma(W_r [h_{t-1}, x_t, c_t])$
$z_t = sigma(W_z [h_{t-1}, x_t, c_t])$
$hat{h_t} = tanh(W_{hat{h}} [r_t * h_{t-1}, x_t, c_t])$
$h_t = (1 - z_t) * h_{t-1} + z_t * hat{h_t}$
注:在decoder中的矩阵$W_r, W_z, W_{hat{h}}$和encoder中的维度是不同的,因为后面的$ [h_{t-1}, x_t, c_t]$是拼接操作,这里面的$ h_{t-1}, x_t, c_t$都对应一个映射矩阵,只是为了方便操作,将他们对应的矩阵也拼接在一起计算了。
2)基于conv的seq2seq模型
基于卷积的seq2seq模型好像使用范围没有那么广,目前我见到的只有在机器翻译和语法纠错中有用到(当然肯定不排除在其他任务中有使用),但是基于卷积的seq2seq是引入了不少有意思的知识,首先引入了stacking conv来捕捉长距离的信息。主要围绕facebook的
以上面得到的$h$为例,其前半段$h*d$置为A,其后半段$h*d$置为B,对B用sigmoid函数激活后类似于门机制,然后对$A$和$sigma(B)$做元素对应相乘,这样也保证了每一层卷积后的输出维度和输入维度一致(这就是为什么第2步要使得卷积后的token的向量维度为$2d$,这种门机制在很多地方都可以使用,用来取代激活函数,既可以做非线性转换,又可以过滤重要的信息)。
4)采用了multi-step attention来连接encoder和decoder,即对decoder的每一层都单独计算attention(至于为什么要这样做,我猜可能是因为卷积是提取局部信息的,而每一层提取的局部信息都不一样,因为每一层对encoder的结果的关注位置也是不一样的,因此每一层对encoder的attention也应该是不一样的)。
3)基于transformer的seq2seq模型
基于transformer的seq2seq模型来源于attention is all you need,具体的介绍可以见。
三,三种模型的对比
从encoder,decoder,attention三个部位来对比
encoder端:
1)RNN
RNN的encoder端和常见的用于分类的RNN模型没有什么区别,输入$x$,得到最后一层的隐层状态,用于之后计算attention。
2)conv
在这里采用stacking conv来对输入$x$编码,作者认为这种stacking conv是可以捕获到长距离的信息的,假设卷积的kernel size为3,第一层卷积能覆盖的最大长度为3(对原始序列),第二层卷积能覆盖的最大长度为$3^2$(对原始序列),依次类推,因此随着卷积层的增长,在原始序列上能覆盖的最大长度呈指数增长。同样去最后一层的隐层状态,用于之后计算attention。同时在每一层之间都引入了残差连接和batch normalization。
3)transformer
transformer的encoder和之前介绍的用transformer做分类基本一致()。整个结构由self-attention和feed forward层组合而成的,同样将最后一层的隐层状态用于之后计算attention。
attention端:
1)RNN
RNN的attention都是基于decoder中的目标词和encoder的序列中的每一个词计算点积(或者其他的计算方式,如MLP,conv等都可以),然后softmax得到一个概率分布,也就是attention的权值。然后对encoder的序列中的每个词对应的向量做加权和得到最终的attention的结果。具体的如下图:

2)conv
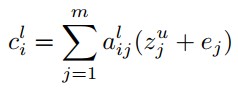
卷积中的attention的计算和RNN中的基本一致,但是最后在做加权和的时候引入了最初encoder中embedding的词向量,其表达式如下:

上面式子中$alpha_{ij}^l$是表示$l$解码层对应的attention权重,$z_j^u$表示的是encoder最后的隐层结果,$e_j$表示的是encoder最初的embedding层的词向量,$j$表示encoder中第$j$个词。
3)transformer
transformer的attention计算有点不太一样,在这里仍然使用了在做self-attention计算中的multi-attention和scaled-attention。因此这里虽然目标词是来源于decoder,但是整个计算过程和transformer中的self-attention是一致的。
decoder端:
1)RNN
RNN在解码时一般都是用单层,因为从左到右的这种单层模式也符合解码的模式,dencoder的层数也一般和encoder保持一致。RNN的解码如上面的GRU示例一样,只是在计算的过程中引入了encoder的结果,其他的和encoder没什么太大的差异。
2)conv
conv在解码时主要是在序列的补全时和encoder不一样,为了保持卷积后序列的长度不变,encoder时会在序列的两端添加长度为$(kernel size - 1) / 2$的pad。而在decoder时会在序列的左端添加长度为$(kernel size - 1)$的pad(在这里kernel size一般取奇数,便于添加pad)。另外不同于RNN的是(RNN是将attention引入到了RNN结构中),conv在解码时的卷积操作只是提取序列的特征,然后经过GLU操作到和encoder的隐层相同的向量维度之后再计算attention,最后将attention的结果和GLU的结果和卷积前的结果相加作为下一层的输入。另外在解码的每一层都引入了残差连接和batch normalization。
3)transformer
transformer的decoder层其实和encoder层差不多,主要不同在加入了encoder的attention的结果,但这里和RNN,conv又优点不一样,这里是先对decoder中的序列做self-attention提取特征,然后再做对encoder的attention,然后进入到feed forward层,因此在这里的操作是串行的。同样再transformer中因为层数比较多,也引入了残差连接和Layer normalization(在自然语言处理中很多layer normalization的用的比batch normalization,除非是卷积,不然一般不用batch normalization)。
除了上面的不同点之外,一般来说transformer和conv的层数都比较深,因此也就需要残差连接和normalization来避免模型过拟合。此外在transformer和conv中都会引入位置向量来引入序列的位置信息,但是在RNN中,因为RNN的本质是从前往后又依赖关系的,因此位置信息在这种传递过程中已经存在了。
上述模型具体的代码见 https://github.com/jiangxinyang227/NLP-Project/tree/master/dialogue_generator
参考文献:
版权声明:
本文来源网络,所有图片文章版权属于原作者,如有侵权,联系删除。
本文网址:https://www.mushiming.com/mjsbk/14351.html