当前位置:网站首页 > 技术博客 > 正文

多目标优化定义



今天为各位讲解多目标优化算法NSGA-Ⅲ,实际上我们分别在、、这几篇推文中对NSGA-Ⅱ做了详细讲解。

那今天讲解的NSGA-Ⅲ实际上和NSGA-Ⅱ只是在选择机制上有区别,其他步骤完全相同。因此,需要各位先回顾一下NSGA-Ⅱ的基本步骤。

在这里,还有一个基本问题需要各位注意一下,NSGA-Ⅱ是multi-objective优化,即多目标优化,而NSGA-Ⅲ的many-objective优化,即超多目标优化。其中,multi-objective(多目标)指的是2或3个优化目标,many-objective(超多目标)指的是至少4个优化目标。

因此,NSGA-Ⅲ的优势是求解超多目标优化问题,即4个及以上的多目标优化问题。

※注:由于NSGA-Ⅲ内容较多,所以将这部分内容讲解分成三篇推文讲解。

目录

  1. NSGA-Ⅱ求解步骤回顾
  2. NSGA-Ⅲ算法设计思路
  3. NSGA-Ⅲ代码获取方式
  4. 参考文献

无论是NSGA-Ⅱ,还是NSGA-Ⅲ,它们的基础都是遗传算法GA。GA的伪代码如下:

GA的基本思路为,种群初始化→进入主循环→选择操作→交叉操作→变异操作→种群更新操作→输出全局最优解

在了解了GA的基本思路后,再来看一下NSGA-Ⅱ的基本思路:

NSGA-Ⅱ与GA的一大差异在于个体的选择机制

GA是通过轮盘赌选择或锦标赛选择等选择方式,从父代种群(种群数目为N)中选择若干个个体组成子代种群,一般来说子代种群数目N_1小于父代种群数目N

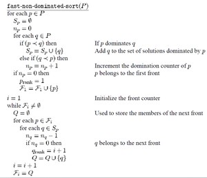
而NSGA-Ⅱ先将父代种群P_{t}(种群数目为N)与子代种群Q_{t}(种群数目为N合并R_{t}=P_{t}cup Q_{t}(种群数目为2N),其次对合并后的种群(种群数目为2N)进行快速非支配排序mathcal{F}=	ext { fast-non-dominated-sort }left(R_{t}
ight),然后根据非支配排序结果以及拥挤度距离计算结果	ext { crowding-distance-assignment }left(mathcal{F}_{i}
ight),从合并种群(种群数目为2N)中选择出N个个体

其中,快速非支配排序mathcal{F}=	ext { fast-non-dominated-sort }left(R_{t}
ight)的伪代码如下:

拥挤度距离计算	ext { crowding-distance-assignment }left(mathcal{F}_{i}
ight)伪代码如下:

NSGA-Ⅱ核心步骤示意图如下图所示:

在回顾完NSGA-Ⅱ之后,我们开始今天的主题——NSGA-Ⅲ。实际上,在文章的开篇我们已经提到过,NSGA-Ⅲ与NSGA-Ⅱ的唯一差别在于选择机制。再严格一点,可以说是摒弃拥挤度距离排序机制,而采用一种基于参考点排序的新机制

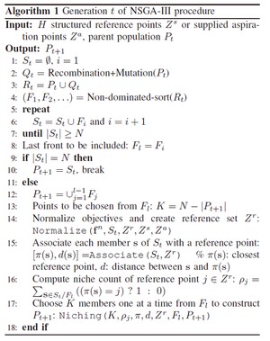
我们先给出NSGA-Ⅲ伪代码:

细心的同学已经发现,NSGA-Ⅲ的伪代码实际上和NSGA-Ⅱ的伪代码基本一致,下面我们将这两个伪代码进行对比:

左侧NSGA-Ⅲ标红的地方和右侧NSGA-Ⅱ标红的地方就是两者的差异,即两者的选择机制不同。其它步骤则完全相同。

从选择机制的伪代码行数可以看出,NSGA-Ⅲ的选择机制更为复杂,接下来则重点剖析一下NSGA-Ⅲ的选择机制。

首先需要明确一个问题,如果在进行快速非支配排序后,l层个体数目之和恰好为N,那就不需要后面基于参考点排序的操作了

因此,后续基于参考点排序是建立在一个前提之上,即前l-1层个体数目之和小于N,前l层个体数目之和大于N。也就是说需要在第l层个体F_{l}中选择出K=N-left|P_{t+1}
ight|个个体

既然,NSGA-Ⅲ采用一种基于参考点的排序机制,那么就有3个很直接的问题:

  1. 这些参考点究竟是什么?
  2. 采用这种基于参考点的排序机制优势在哪里?
  3. 如何生成这些参考点?

首先回答第一个问题——这些参考点究竟是什么

以一个三目标问题为例,这些参考点实际上等间距均匀分布在一个等边三角形平面上,其中这个等边三角形的三个顶点坐标分别为(1,0,0),(0,1,0),(0,0,1),则这些参考点的示意图如下图所示,其中下图中的15个小黑点就是参考点:

接下来回答第二个问题——采用这种基于参考点的排序机制优势在哪里。 我们都希望多目标优化最终获得的帕列托解能够尽可能均匀分布,而不是这里一堆解,那里一堆解。

因为,均匀分布的帕列托解可以为用户提供多个平衡的解决方案,这些解都保留各自的优势。而分块密集的帕列托解很明显不利于用户做决策,很明显只有这几块的解是能够支撑用户决策的,而缺少其它位置的平衡解,显示不是我们多目标优化的初衷。

因此,为了使最终获得的帕列托解能够均匀分布,NSGA-Ⅲ采用基于参考点排序的方式,在解与参考点之间建立联系,因为构造的参考点是均匀分布的,所以我们希望最终生成的帕列托解也可以保持均匀分布的这一特性。

最后回到第三个问题——如何生成这些参考点

我们先回到第一个问题的那张图,各位要注意一点,这些参考点是等间距分布的。

示意图中的参考点是4等分分布的,这些参考点的几何生成方法如下:

  1. 先将3个顶点(即(1,0,0),(0,1,0),(0,0,1))进行连线,形成等边三角形。
  2. 在每条边上进行4等分操作,即每条边各有5个等分点,这些等分点为部分参考点。
  3. 将与各边平行的各对等分点连线,连线产生的交点为另一部分参考点。
  4. 上述交点全集即为生成的参考点。

上述参考点生成方式是以3目标为例,4目标及以上的参考点生成方法可以此类推。3目标4等分所生成的参考点示意图如下图所示。

各位可以发现,如果目标数目为M,等分数目为p,则生成的参考点数目H=C_{M+p-1}^{p}

还是以上述3目标4等分为例,参考点的代数生成方法如下图所示:

4目标5等分的代数生成方法如下图所示:

参考点生成MATLAB代码如下:

  1. Katoch S, Chauhan S S, Kumar V. A review on genetic algorithm: past, present, and future[J]. Multimedia Tools and Applications, 2021, 80: 8091-8126.
  2. Deb K, Pratap A, Agarwal S, et al. A fast and elitist multiobjective genetic algorithm: NSGA-II[J]. IEEE transactions on evolutionary computation, 2002, 6(2): 182-197.
  3. Deb K, Jain H. An evolutionary many-objective optimization algorithm using reference-point-based nondominated sorting approach, part I: solving problems with box constraints[J]. IEEE transactions on evolutionary computation, 2013, 18(4): 577-601.
  4. Tian Y, Cheng R, Zhang X, et al. PlatEMO: A MATLAB platform for evolutionary multi-objective optimization [educational forum][J]. IEEE Computational Intelligence Magazine, 2017, 12(4): 73-87.
  5. Mostapha Kalami Heris, NSGA-III: Non-dominated Sorting Genetic Algorithm, the Third Version — MATLAB Implementation (URL: ), Yarpiz, 2016.
  6. Das I, Dennis J E. Normal-boundary intersection: A new method for generating the Pareto surface in nonlinear multicriteria optimization problems[J]. SIAM journal on optimization, 1998, 8(3): 631-657.

想快速入门智能优化算法的小伙伴可以阅读我们的书籍,本书对算法的讲解详细易懂,对代码的注释也十分完备。

3.6-3.12日京东当当购书5折优惠,想要入手此书的小伙伴可可以抓紧入手哦!

京东自营购买链接:

当当自营购买链接


咱们下期再见

知乎 | bilibili | CSDN:随心390

版权声明


相关文章:

  • debug stack trace for2025-01-04 15:01:03
  • 移动端主流框架2025-01-04 15:01:03
  • selenium自动化测试报告2025-01-04 15:01:03
  • vlan互通配置2025-01-04 15:01:03
  • dds信号发生器vhdl2025-01-04 15:01:03
  • qt删除文件中的部分内容2025-01-04 15:01:03
  • 线程安全的类有哪些2025-01-04 15:01:03
  • css字体样式大全2025-01-04 15:01:03
  • 数据库表设计例子简单2025-01-04 15:01:03
  • rapid程序是什么意思2025-01-04 15:01:03