数据结构的算法实践留作业啦,我选了图的遍历这一块,因为感觉比起其他的题目的话,会更加的清楚相关算法,写这篇文章是为了能够让大家更加清楚图的遍历算法,也是为了自己能够再进行一次相关知识的回顾,帮助自己答辩时顺利通关,希望答辩顺利!!!也希望看到文章的宝贝们对图的遍历这一部分更加清楚!!❤
对了,图的遍历可视化也已经完成,大家有兴趣可以看一下
https://blog.csdn.net/zhang2gongzi/article/details/?spm=1001.2014.3001.5501
——————————————————————————————
图的遍历是指从图中的任一顶点出发,对图中的所有顶点访问一次且只访问一次(访问一次,但不止用到一次)。 图的遍历操作和树的遍历操作功能相似(二叉树的前序,中序,后序遍历,本质上也可以认为是深度优先遍历、而二叉树的层序遍历,本质上也可以认为是广度优先遍历)。图的遍历是图的一种基本操作,图的许多其它操作都是建立在遍历操作的基础之上。
就比如你想出去逛街,街上有很多店,a,b,c,d,e,f,g,要怎么才能把他们都逛呢,假如运用我们图的遍历的操作,那么就可以通过广度优先和深度优先来进行安排

广度优先遍历(Breadth First Search),又称为广度优先搜索,简称BFS。
是一种分层的查找过程,每向前走一步可能访问一批顶点,不像深度优先搜索那样有往回退的情况,因此它不是一个递归的算法。为了实现逐层的访问,算法必须借助一个辅助队列,以记忆正在访问的顶点的下一层顶点。
其实他本意就是,先遍历一个节点,然后遍历那个节点所连接的的周边节点,之后再一个结点一个结点的往外遍历,重复循环
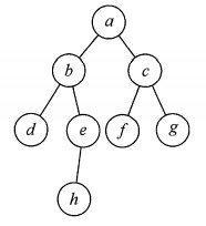
大家还记得我上面举例子的这张图吗,如果按照广度优先遍历的话,那么访问顺序为a、b、c、d、e、f、g、h。
就是从上面一层层的遍历下来,这张图是二叉树的样式,所以可能比较容易让大家理解,那么我们现在换成图来一起做一次

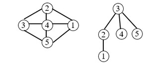
那么这张图,我们设从“3”开始遍历,运用广度优先的方法,那么我们所得到的遍历顺序为3,2,3,4,5,1;
https://blog.csdn.net/_/article/details/?ops_request_misc=&request_id=&biz_id=102&utm_term=%E5%B9%BF%E5%BA%A6%E4%BC%98%E5%85%88%E9%81%8D%E5%8E%86&utm_medium=distribute.pc_search_result.none-task-blog-2allsobaiduweb~default-3-.pc_search_result_control_group&spm=1018.2226.3001.4187
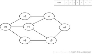
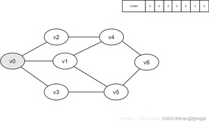
这里的话,我借鉴了一下大佬的图,因为我觉得大佬这几张动画图,真的很棒,就我看的话,还是挺清楚的
首先时算法思路部分
深度优先搜索类似于树的先序遍历,具体过程如下:
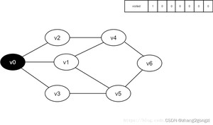
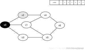
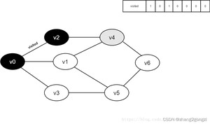
准备工作:创建一个visited数组,用于记录所有被访问过的顶点。
1.从图中v0出发,访问v0。
2.找出v0的第一个未被访问的邻接点,访问该顶点。以该顶点为新顶点,重复此步骤,直至刚访问过的顶点没有未被访问的邻接点为止。
3.返回前一个访问过的仍有未被访问邻接点的顶点,继续访问该顶点的下一个未被访问领接点。
4.重复2,3步骤,直至所有顶点均被访问,搜索结束。















明天就要答辩了,所以比较赶,时间不太来的及,大家先凑合者看吧,等答辩完我再补
版权声明:
本文来源网络,所有图片文章版权属于原作者,如有侵权,联系删除。
本文网址:https://www.mushiming.com/mjsbk/12815.html