http://blog.csdn.net/pipisorry/article/details/
直观地说,对于一个给定的正实值函数,在一个实数区间上的定积分可以理解为在坐标平面上,由曲线、直线以及轴围成的曲边梯形的面积值(一种确定的实数值)。积分的一个严格的数学定义由波恩哈德·黎曼给出(参见条目“黎曼积分”)。

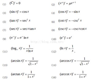
函数的和、差、积、商的求导法则

反函数求导法则


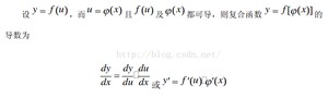
复合函数求导法则

全微分

[全微分(简明微积分) - 小时百科]
偏导的链式法则

[复合函数的偏导、链式法则(多元微积分) - 小时百科]
[偏导数、微分、以及导数到底有什么关系和区别? - 知乎]
皮皮blog




皮皮blog


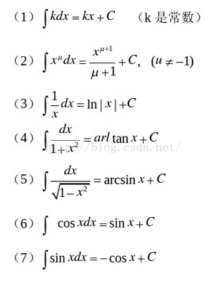
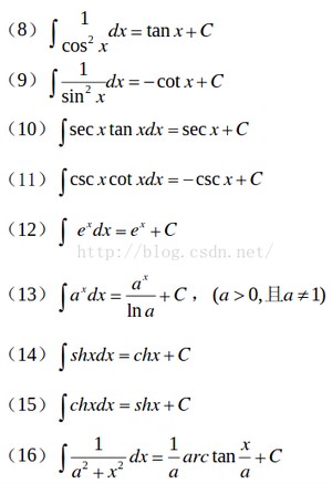
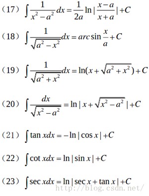
[常用的求导和定积分公式(完美)]
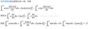
不定积分的分部积分
[分部积分法]
定积分的分部积分
皮皮blog

![]()
发散级数
![]()
收敛级数

皮皮blog
令f(x)为连续且光滑,任取其上两点(a,f(a))与(b,f(b)),a<b,那么在这两端点之间必定存在一点(c,f(c)),a<c<b,使得过c的切线斜率等于该二端点割线的斜率,即f'(c)={f(b)-f(a)}/{b-a}。
[wikipedia]
from: 微积分:常用公式、微分方程、级数_微积分公式_-柚子皮-的博客-CSDN博客
ref:
版权声明:
本文来源网络,所有图片文章版权属于原作者,如有侵权,联系删除。
本文网址:https://www.mushiming.com/mjsbk/12662.html