
俗话说:学如逆水行舟,不进则退;心似平原走马,易放难收。这句话对程序员而言,体会更深。这行已经越来越卷了,时刻准备着,😃。 二叉树,在面试中,已是必备的开胃菜。而在二叉树相关的面试题目中,遍历更是常考题目。本文将从二叉树的遍历角度入手,从递归和非递归角度来分析和讲解二叉树的遍历。
二叉树的遍历,有先序遍历、中序遍历以及后续遍历三种。

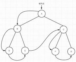
图一
上面三种遍历方式中的先序、中序以及后序三种方式,是父节点相对于子节点来说的。如果父节点先于子节点,那么就是先序遍历。如果子节点先于父节点,那么就是后序遍历。而对于子节点来说,如果先左节点,然后是父节点,然后再是右节点,那么就是中序遍历。
如【图一】所示二叉树。其三种遍历结果如下:
先序遍历: A->B->D->E->C->F->G
中序遍历: D->B->E->A->F->C->G
后续遍历: D->E->B->F->G->C->A
为了便于理解代码,我们先定义下树的节点定义:
相信递归遍历大家都会很容易写出来,且bugfree。因为实现代码很简单。

图二 先序遍历
在上图【图二】中,使用递归遍历,就是将其左子树和右子树也当做一棵树来进行处理。代码如下:
在非递归操作中,我们仍然是按照先访问根节点,然后遍历左子树,接着遍历右子树的方式。

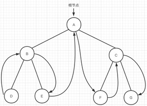
图三 先序遍历
- 到达节点A,访问节点A,开始遍历A的左子树
- 到达节点B,访问节点B,开始遍历B的左子树
- 到达节点D,访问节点D,因为节点D无子树,因此节点D遍历完成
- 节点D遍历完成,意味着节点B的左子树遍历完成,因此接着遍历节点B的右子树
- 到达节点E,访问节点E。因为节点E无子树,因此节点E遍历完成
- 节点E遍历完成,意味着节点B的右子树遍历完成,也预示着节点B的子树遍历完成
- 开始遍历节点A的右子树
- 到达节点C,访问节点C。开始遍历C的左子树
- 到达节点F,访问节点F。因为节点F无子树,因此节点F遍历完成
- 节点F遍历完成,意味着节点C的左子树遍历完成,因此开始遍历节点C的右子树
- 到的节点G,访问节点G。因为节点G无子树,因此节点G遍历完成
- 节点G遍历完成,意味着节点C的右子树遍历完成,进而预示着节点C遍历完成
- 节点C遍历完成,意味着节点A的右子树遍历完成,进而意味着节点A遍历完成,因此以A为根节点的树遍历完成。
用非递归方式遍历二叉树,需要引入额外的数据结构栈(stack),其基本流程如下: 1、申请一个栈stack,然后将头节点压入stack中。
2、从stack中弹出栈顶节点,打印
3、将其右孩子节点(不为空的话)先压入stack中
4、将其左孩子节点(不为空的话)压入stack中。
5、不断重复步骤2、3、4,直到stack为空,全部过程结束。
代码如下:

图四 中序遍历
在上图【图四】中,使用递归遍历,就是将其左子树和右子树也当做一棵树来进行处理。代码如下:
上述中序遍历的递归代码,相比于先序遍历,只是将访问根节点的行为放在了遍历左右子树之间。
在非递归操作中,我们仍然是按照先遍历左子树,然后访问根节点,最后遍历右子树的方式。

图五 中序遍历
- 到达节点A,节点A有左子树,遍历节点A的左子树
- 到达节点B,节点B有左子树,遍历节点B的左子树
- 到达节点D,节点D无子树,访问D节点
- 由于D无子树,意味着B的左子树遍历完成,那么就回到B节点
- 访问B节点,遍历B节点的右子树
- 到达节点E,节点E无子树,访问节点E
- E节点遍历完成,意味着以B为根的子树遍历完成,回到A节点
- 到达A节点,访问A节点,遍历A节点的右子树
- 到达C节点,遍历C节点的左子树
- 到达F节点,因为F节点无子树,因此访问F节点。
- 由于F节点无子树,意味着C节点的左子树遍历完成,回到C节点
- 到达C节点,访问C节点,遍历C的右子树
- 到达节点G,由于G无子树,因为访问节点G
- G节点遍历完成,意味着C节点的右子树遍历完成,进而意味着A节点的右子树遍历完成,从意味着以A节点为根的二叉树遍历完成。
中序遍历,同样需要额外的辅助数据结构栈。
- 将根节点放入栈 2、如果根节点有左子树,则将左子树的根节点放入栈 3、重复步骤1和2.继续遍历左子树 4、从栈中弹出节点,进行访问,然后遍历右子树(重复步骤1和2) 5、如果栈为空,则遍历完成
代码如下:

图六 后序遍历
上面就是后续遍历的递归写法,比较写先序遍历、中序遍历以及后续遍历三者的递归遍历写法,大部分代码是一样的,唯一的区别就是访问根节点的代码位置不一样:
先序遍历:先访问根节点,然后遍历左子树,最后遍历右子树 中序遍历:先遍历左子树,然后访问根节点,最后遍历右子树 后序遍历:先遍历左子树,然后遍历右子树,最后访问根节点
在非递归操作中,我们仍然是按照先遍历左子树,然后访问根节点,最后遍历右子树的方式。

图七 后续遍历
- 到达节点A,遍历A的左子树
- 到达节点B,遍历B的左子树
- 到达节点D,由于D无子树,则访问节点D
- 节点D无子树,意味着节点B的左子树遍历完成,接着遍历B的右子树
- 到达节点E,由于E无子树,则访问节点E
- 节点E无子树,意味着节点B的右子树遍历完成,接回到节点B
- 访问节点B,回到节点B的根节点A
- 到达节点A,访问节点A的右子树
- 到达节点C,遍历节点C的左子树
- 到达节点F,由于节点F无子树,因此访问节点F
- 节点F访问完成,意味着C节点的左子树遍历完成,因此回到节点C
- 到达节点C,遍历节点C的右子树
- 到达节点G,由于节点G无子树,因为访问节点G
- 节点G访问完成,意味着C节点的右子树遍历完成,回到节点C
- 到达节点C,访问节点C
- 节点C遍历完成,意味着节点A的右子树遍历完成,回到节点A
- 节点A的右子树遍历完成,访问节点A
用非递归方式遍历二叉树,需要引入额外的数据结构栈(stack),其基本流程如下: 1、申请两个栈stack,然后将头节点压入指定stack中。
2、从stack中弹出栈顶节点,放入另外一个栈中
3、将其左孩子节点(不为空的话)先压入stack中
4、将其右孩子节点(不为空的话)压入stack中。
5、不断重复步骤2、3、4,直到stack为空。
6、重复访问另外一个栈,直至栈空
对于二叉树来说,所谓的遍历,是指沿着某条路线依次访问每个节点,且均只做一次访问。二叉树的遍历,是面试中常面算法之一,一定要把其弄懂,必要的时候,需要背诵,乃至做到肌肉记忆。
关注公众号:[虫爸说说],回复【资料】,免费获取
个人主页:http://www.studyinfo.top
版权声明:
本文来源网络,所有图片文章版权属于原作者,如有侵权,联系删除。
本文网址:https://www.mushiming.com/mjsbk/1144.html