目录
一 前言
二 第一份实现
三 第二份实现
四 总结
低通滤波器在许多领域都有广泛的应用。博主也因为需要,最近看了看这方面的资料。因为一方面主要需求是二级低通滤波的实现,另一方面该需求只是功能中引入的一个小点,不是做这方面研究用,所以在资料的挑选上就比较苛刻,那些讲一大堆原理公式的就不太适合,有点头重脚轻。反而那些直达目标,讲如何代码实现的,是博主比较关注的。
也正因为如此,感觉网上资料比较少。而且好多资料虽然有代码,但也穿插了比较多的理论和概念,有的还需要二次转换,这种资料,很多时候就放弃了。查的东西多了,就逐渐发现,要想将复杂的事情简单化,是比较考验能力水平的。这就好比,大人给小孩子讲明白一个事情是比较难的,反过来,小孩子觉得自己讲了一件非常复杂的事情,可能在大人觉得还是比较简单的。
书越读才能越薄,必要的概念还是不能绕过去。
首先,要区分几个干扰概念:就是FIR、IIR、巴特沃斯、还有其他一些类型的参数。这里的二阶低通滤波,其实是一个比较笼统的说法。为了找到比较合适的公式,简单的了解了一下这些概念。参考知乎上的这篇文章:【滤波专题-第1篇】数字滤波器15分钟入门!——这可能是最简单的FIR有限冲激响应滤波讲解 - 知乎
简单来讲,FIR是有限冲激响应,离散化的实现中,y只与x及x的历史有关,与y的历史无关,而IIR则不同,不仅与x的历史有关,还与y的历史有关。这是区分二者的比较直接简单的方法。
后面的实现按这个方法来区分的话,是属于IIR的。
插一句:程序实现这些功能,是需要先进行离散化处理的,然后按采样点一个一个的计算。
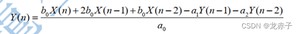
算法的公式如下:图片来自网络,https://www.cnblogs.com/tuxinbang/p/10705443.html

离散化的推到及实现参考:https://blog.csdn.net/_/article/details/


第一份代码就是参考该博文写的。需要注意的是,这篇博文中有一个参数编码的实现弄错了,跟上面图片中对应的系数不一致。
网上找的很多代码并不能直接拿来测试,这里我把自己改写的代码直接放上来,入门的小伙伴可以直接用来测试:
代码里,截至频率选择了20hz,阻尼比 选择了0.707. Const_TS就是转为离散化实现的时候,采样的周期。这里按10K来测试,该值就是100us,代码中要用秒单位,因此是0.0001 另一个常量2Pi就不用解释了。
为了方便测试上述函数,构造了一个周期50hz的正弦波,另外构造了一个1Khz的噪声正弦波,将两个波形叠加起来,作为输入,看看上面的滤波代码能否正常工作。

上图中,灰色的是合成的输入,黄色的是过滤后的输出。背景中的蓝色波就是50hz的正常波,二橘色的就是模拟噪声的1khz的波

从上图来看,噪声波基本被过滤了,滤波后的频率与原始正常波看着也很接近。不知道理解是不是正确。
但是,这里幅值有明显的衰减。也不知道是什么原因,比较程序是活的,改改参数看看,将截至频率从20hz调整到50hz,过滤效果如下图:


看来应该是跟频率关系比较大。这个图就看着比较舒服了。这里也能明显的看到相位差了。
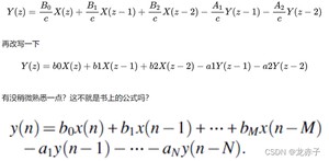
博主虽然学过信号与系统,但是早都还给老师了,所以,也不知道上面的理解对不对。另外搜索资料过程中,也发现了很多不同的实现,于是本着审慎的态度,就找了另一个实现,来相互验证下。公式差不多,如下图 图片来自飞控中的IIR二阶滤波器 - 知乎


按上面的公式,另实现了一份,代码如下:
可以看到,除了参数系数的写法不一样外,其他部分跟第一份实现都是比较接近的。采样频率还是10Khz,截至频率选择了100,输入跟第一份代码一样,我们看看结果:

蓝色是50hz输入,橘色是截至频率为100hz的实现,灰色和黄色是两份实现在20hz的情况下的输出,可以看到,灰色的基本被黄色曲线盖住了,这说明两个公式实现的功能是完全一致的,这似乎也间接验证了接口的正确性。
上面两份代码都没有做优化,其实系数在频率参数确定的情况下是固定的,因此可以提前计算好,这样可提升整体性能;另外就是,上面的实现仅供参考,博主本人也在继续学习,有问题欢迎大家指正。
版权声明:
本文来源网络,所有图片文章版权属于原作者,如有侵权,联系删除。
本文网址:https://www.mushiming.com/mjsbk/11181.html